【药物名称】Rufloxacin hydrochloride, ISF-09334(free base), MF-934, Tebraxin, Monos, Qari
化学结构式(Chemical Structure):
参考文献No.54129
标题:MF-934
作者:Rugarli, P.L.; Pagella, P.G.; Terni, P.
来源:Drugs Fut 1986,11(7),573
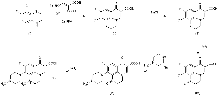
合成路线图解说明:

Condensation of 8-chloro-7-fluoro-2,3-dihydro-4H-benzothiazine (I) with diethyl ethoxymethylenmalonate at 120 C and subsequent cyclization with polyphosphoric acid yields ethyl 10-chloro-9-fluoro-7-oxo-2,3-dihydro-7H-pyrido[ 1,2,3-de][1,4]benzothiazine 6 carboxylate (II). Hydrolysis of the latter with 10% NaOH affords the corresponding free acid (III). Oxidation of (III) with H2O2 under mild conditions gives the sulfoxide (IV), which, reacting by means of N-methylpiperazine in DMF at 90 C, gives the 9-fluoro-10 [N-(4 methyl)piperazinyl]-7-oxo- 2,3-dihydro-7H-pyrido[1,2,3-de][1,4]benzothiazine-1-oxide-6-carboxylic acid (V). Finally, the reduction of sulfoxide (V) with PCl3 yieids title compound.

Drug Information Express,Drug R&D,Chemical Database,Patent Search.
Copyright © 2006-2026 Drug Future. All rights reserved.Contact Us