【药物名称】
化学结构式(Chemical Structure):
参考文献No.3736
标题:Derivs. of N-iminopyridinium betaines having anti-
作者:Esteve Soler, J. (Provesan SA)
来源:EP 0117196; US 4563467
合成路线图解说明:

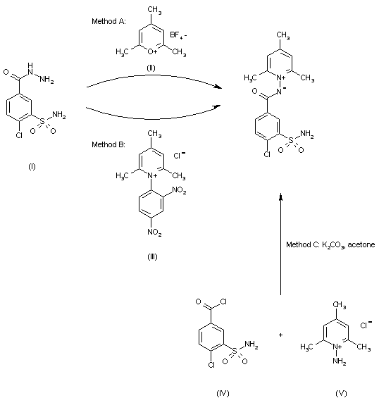
1-[(4-Chloro-3-sulfamoylbenzoyl)amino]-2,4,6-trimethylpyridinium salt is obtained in several ways from 4-chloro-3-sulfamoylbenzoyl hydrazide (I) or from 4-chloro-3-sulfamoylbenzoyl chloride (IV). The pyridinium salt thus produced may be converted by means of a base to besulpamide (I). 1) The first stage of the sequence is accomplished by refluxing the hydrazide (I) in ethanol with the pyrilium salt (II). 2) The Zincke salt (III) from 2,4,6-trimethylpyridine and 2,4-dinitrochlorobenzene is heated with the hydrazide (I) and triethylamine in ethanol. 3) 1-Amino-2,4,6-trimethylpyridinium salt (V) is acylated with 4-chloro-3-sulfamoylbenzoyl chloride (IV) and potassium carbonate in acetone.

参考文献No.56940
标题:BESULPAMIDE
作者:Casta馿r, J.; Prous, J.
来源:Drugs Fut 1987,12(3),205
合成路线图解说明:

1-[(4-Chloro-3-sulfamoylbenzoyl)amino]-2,4,6-trimethylpyridinium salt is obtained in several ways from 4-chloro-3-sulfamoylbenzoyl hydrazide (I) or from 4-chloro-3-sulfamoylbenzoyl chloride (IV). The pyridinium salt thus produced may be converted by means of a base to besulpamide (I). 1) The first stage of the sequence is accomplished by refluxing the hydrazide (I) in ethanol with the pyrilium salt (II). 2) The Zincke salt (III) from 2,4,6-trimethylpyridine and 2,4-dinitrochlorobenzene is heated with the hydrazide (I) and triethylamine in ethanol. 3) 1-Amino-2,4,6-trimethylpyridinium salt (V) is acylated with 4-chloro-3-sulfamoylbenzoyl chloride (IV) and potassium carbonate in acetone.

Drug Information Express,Drug R&D,Chemical Database,Patent Search.
Copyright © 2006-2026 Drug Future. All rights reserved.Contact Us