【药物名称】Taltirelin, TA-0910, Ceredist
化学结构式(Chemical Structure):
参考文献No.3731
标题:Dihydroorotic acid derivs., process for their preparing and pharmaceutical compsn. containing them
作者:Sugano, H.; Ishida, R.; Yamamura, M. (Tanabe Seiyaku Co., Ltd.)
来源:EP 0168042; ES 8705463; ES 8707738; ES 8800208; US 4665056
合成路线图解说明:

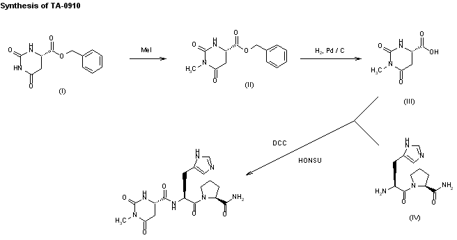
The methylation of 4,5-dihydroorotic acid benzyl ester (I) with methyl iodide gives the corresponding 1-methyl derivative (II), which is debenzylated by hydrogenolysis with H2 over Pd/C yielding (S)-1-methyl-4,5-dihydroorotic acid (III). Finally, this compound is condensed with L-histidyl-L-prolinamide (IV) by means of dicyclohexylcarbodiimide (DCC) and N-hydroxysuccinimide (HONSU) in DMF.

参考文献No.3732
标题:Dihydroorotic acid derivs. and process for their preparation
作者:Sugano, H.; Ishida, R.; Yamamura, M. (Tanabe Seiyaku Co., Ltd.)
来源:JP 1986033197
合成路线图解说明:

The methylation of 4,5-dihydroorotic acid benzyl ester (I) with methyl iodide gives the corresponding 1-methyl derivative (II), which is debenzylated by hydrogenolysis with H2 over Pd/C yielding (S)-1-methyl-4,5-dihydroorotic acid (III). Finally, this compound is condensed with L-histidyl-L-prolinamide (IV) by means of dicyclohexylcarbodiimide (DCC) and N-hydroxysuccinimide (HONSU) in DMF.

参考文献No.14160
标题:Therapeutic agent for central nervous system disorders
作者:Sugano, H.; Ishida, R.; Yamamura, M. (Tanabe Seiyaku Co., Ltd.)
来源:JP 1987234029
合成路线图解说明:

The methylation of 4,5-dihydroorotic acid benzyl ester (I) with methyl iodide gives the corresponding 1-methyl derivative (II), which is debenzylated by hydrogenolysis with H2 over Pd/C yielding (S)-1-methyl-4,5-dihydroorotic acid (III). Finally, this compound is condensed with L-histidyl-L-prolinamide (IV) by means of dicyclohexylcarbodiimide (DCC) and N-hydroxysuccinimide (HONSU) in DMF.

参考文献No.129110
标题:Synthesis and central nervous system actions of thyrotropin-releasing hormone analogues containing a dihydroorotic acid moiety
作者:Suzuki, M.; Sugano, H.; Matsumoto, K.; Yamamura, M.; Ishida, R.
来源:J Med Chem 1990,33(8),2130-37
合成路线图解说明:

The methylation of 4,5-dihydroorotic acid benzyl ester (I) with methyl iodide gives the corresponding 1-methyl derivative (II), which is debenzylated by hydrogenolysis with H2 over Pd/C yielding (S)-1-methyl-4,5-dihydroorotic acid (III). Finally, this compound is condensed with L-histidyl-L-prolinamide (IV) by means of dicyclohexylcarbodiimide (DCC) and N-hydroxysuccinimide (HONSU) in DMF.

参考文献No.133132
标题:TA-0910
作者:Prous, J.; Casta馿r, J.
来源:Drugs Fut 1991,16(2),127
合成路线图解说明:

The methylation of 4,5-dihydroorotic acid benzyl ester (I) with methyl iodide gives the corresponding 1-methyl derivative (II), which is debenzylated by hydrogenolysis with H2 over Pd/C yielding (S)-1-methyl-4,5-dihydroorotic acid (III). Finally, this compound is condensed with L-histidyl-L-prolinamide (IV) by means of dicyclohexylcarbodiimide (DCC) and N-hydroxysuccinimide (HONSU) in DMF.

Drug Information Express,Drug R&D,Chemical Database,Patent Search.
Copyright © 2006-2026 Drug Future. All rights reserved.Contact Us