【药物名称】Nerisopam, EGIS-6775, GYKI-52322
化学结构式(Chemical Structure):
参考文献No.3702
标题:5H-2,3-Benzodiazepine derivs. and pharmaceutical c
作者:Lang, T.; Kor鰏i, J.; Andr醩i, F.; Botka, P.; H醡ori, T.; Berzsenyi, P.; Goldschmidt, K.; Z髄yomi, G.; Elekes, I.; L醤g, Z. (Egis Pharmaceuticals Ltd.)
来源:BE 0902953; CH 667090; DE 3527117; ES 8608494; FR 2568252; GB 2162184; JP 1986043174; US 4614740
合成路线图解说明:

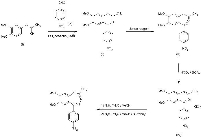
1-(3,4-Dimethoxyphenyl)-2-propanol (I) is condensed with 4-nitrobenzaldehyde. The resulting 1-(4-nitrophenyl)-3-methyl-6,7-dimethoxyisochromane (II) is oxidized with Jones reagent to obtain 2-acetonyl-4,5-dimethoxy-4'-nitrobenzophenone (III). Then 1-(4-nitrophenyl)-3-methyl-6,7-dimethoxy-2-benzopyrylium perchlorate (IV) is produced by the conventional procedure, from which intermediary, with the help of hydrazine hydrate and reduction. GYKI-52322 is prepared.

参考文献No.46784
标题:Process for preparing isochromane derivs.
作者:Hamori, T.; Botka, P.; Zolyomi, G.; Koeroesi, J.; Lang, T. (Gyogyszerkutato Intezet Kft.)
来源:HU 194550
合成路线图解说明:

1-(3,4-Dimethoxyphenyl)-2-propanol (I) is condensed with 4-nitrobenzaldehyde. The resulting 1-(4-nitrophenyl)-3-methyl-6,7-dimethoxyisochromane (II) is oxidized with Jones reagent to obtain 2-acetonyl-4,5-dimethoxy-4'-nitrobenzophenone (III). Then 1-(4-nitrophenyl)-3-methyl-6,7-dimethoxy-2-benzopyrylium perchlorate (IV) is produced by the conventional procedure, from which intermediary, with the help of hydrazine hydrate and reduction. GYKI-52322 is prepared.

参考文献No.46785
标题:New process for producing 2-aroyl-phenylacetone derivs.
作者:Somogyi, G.; Balogh, T.; Botka, P.; Lang, T.; Hamori, T.; Zolyomi, G.; Koeroesi, J. (Gyogyszerkutato Intezet Kft.)
来源:HU 194529
合成路线图解说明:

1-(3,4-Dimethoxyphenyl)-2-propanol (I) is condensed with 4-nitrobenzaldehyde. The resulting 1-(4-nitrophenyl)-3-methyl-6,7-dimethoxyisochromane (II) is oxidized with Jones reagent to obtain 2-acetonyl-4,5-dimethoxy-4'-nitrobenzophenone (III). Then 1-(4-nitrophenyl)-3-methyl-6,7-dimethoxy-2-benzopyrylium perchlorate (IV) is produced by the conventional procedure, from which intermediary, with the help of hydrazine hydrate and reduction. GYKI-52322 is prepared.

参考文献No.62394
标题:GYKI-52322
作者:Andr醩i, F.
来源:Drugs Fut 1988,13(4),308
合成路线图解说明:

1-(3,4-Dimethoxyphenyl)-2-propanol (I) is condensed with 4-nitrobenzaldehyde. The resulting 1-(4-nitrophenyl)-3-methyl-6,7-dimethoxyisochromane (II) is oxidized with Jones reagent to obtain 2-acetonyl-4,5-dimethoxy-4'-nitrobenzophenone (III). Then 1-(4-nitrophenyl)-3-methyl-6,7-dimethoxy-2-benzopyrylium perchlorate (IV) is produced by the conventional procedure, from which intermediary, with the help of hydrazine hydrate and reduction. GYKI-52322 is prepared.

Drug Information Express,Drug R&D,Chemical Database,Patent Search.
Copyright © 2006-2026 Drug Future. All rights reserved.Contact Us