【药物名称】Prednicarbate, S-770777, Hoe-777, Peitel, Dermatop
化学结构式(Chemical Structure):
参考文献No.54035
标题:Prednicarbate
作者:Prous, J.; Casta馿r, J.
来源:Drugs Fut 1986,11(6),460
合成路线图解说明:

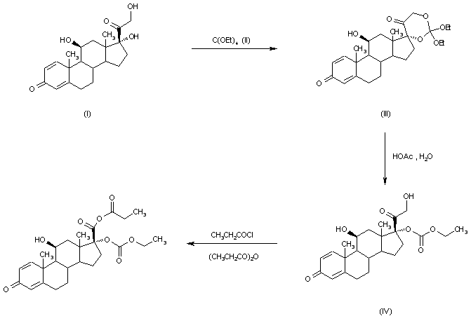
The esterification of prednisolone (I) with ethyl orthocarbonate (II) by means of p-toluenesulfonic acid in dioxane gives prednisolone 17,21-(diethylorthocarbonate) (III), which is carefully hydrolyzed with acetic acid water yielding cyclic prednisolone 17-(ethyl carbonate) (IV). Finally, this compound is esterified with propionyl chloride or propionyl anhydride in pyridine or CH2Cl2-dimethylaminopyridine, respectively.

参考文献No.555262
标题:Ginkgolide A, B, and huperzine A inhibit nitric oxide production from rat C6 and human BT325 glioma cells
作者:Zhao, H.-W.; Li, X.-Y.
来源:Acta Pharm Sin 1999,20(10),941
合成路线图解说明:

The esterification of prednisolone (I) with ethyl orthocarbonate (II) by means of p-toluenesulfonic acid in dioxane gives prednisolone 17,21-(diethylorthocarbonate) (III), which is carefully hydrolyzed with acetic acid water yielding cyclic prednisolone 17-(ethyl carbonate) (IV). Finally, this compound is esterified with propionyl chloride or propionyl anhydride in pyridine or CH2Cl2-dimethylaminopyridine, respectively.

Drug Information Express,Drug R&D,Chemical Database,Patent Search.
Copyright © 2006-2026 Drug Future. All rights reserved.Contact Us