【药物名称】Aceclofenac, YT-919, Beofenac, Preservex, Gerbin, Falcon, Airtal
化学结构式(Chemical Structure):
参考文献No.3663
标题:2-[(2,6-Dichlorophenyl)amino]phenylacetoxyacetyl derivs. and therapeutic compsns. containing same
作者:Casas, A.V. (Almirall Prodesfarma, SA)
来源:EP 0119932; US 4548952
合成路线图解说明:

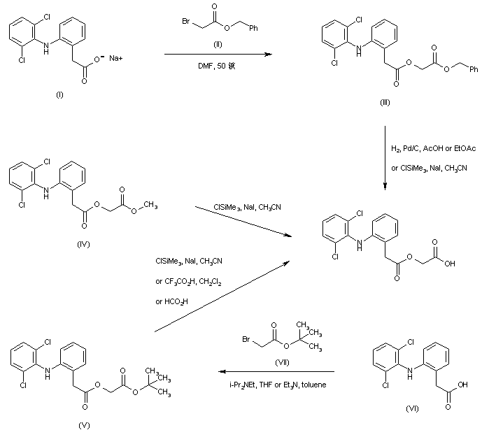
Alkylation of the sodium salt of diclofenac (I) with benzyl bromoacetate (II) in hot DMF yielded the (arylacetoxy)acetate (III). Subsequent hydrogenolysis of the benzyl ester of (III) in the presence of Pd/C gave the title carboxylic acid. Alternatively, the benzyl ester group of (III) was cleaved by means of the combination of chlorotrimethylsilane and sodium iodide. This method of selective ester hydrolysis with in situ generated iodotrimethylsilane was also applied to the corresponding methyl (IV) and tert-butyl (V) esters. In a related procedure, tert-butyl ester (V) was prepared by alkylation of diclofenac (VI) with tert-butyl bromoacetate (VII) in the presence of tertiary amines. Selective cleavage of the tert-butyl ester group of (V) was then performed by treatment with either trifluoroacetic or formic acid.

参考文献No.58273
标题:Process for obtaining 2-[(2,6-dichlorophenyl)amino]phenylacetoxyacetic acid
作者:Ginebreda Mart? A.; Agust?Cruz, A. (Almirall Prodesfarma, SA)
来源:ES 2020146
合成路线图解说明:

Alkylation of the sodium salt of diclofenac (I) with benzyl bromoacetate (II) in hot DMF yielded the (arylacetoxy)acetate (III). Subsequent hydrogenolysis of the benzyl ester of (III) in the presence of Pd/C gave the title carboxylic acid. Alternatively, the benzyl ester group of (III) was cleaved by means of the combination of chlorotrimethylsilane and sodium iodide. This method of selective ester hydrolysis with in situ generated iodotrimethylsilane was also applied to the corresponding methyl (IV) and tert-butyl (V) esters. In a related procedure, tert-butyl ester (V) was prepared by alkylation of diclofenac (VI) with tert-butyl bromoacetate (VII) in the presence of tertiary amines. Selective cleavage of the tert-butyl ester group of (V) was then performed by treatment with either trifluoroacetic or formic acid.

参考文献No.58274
标题:Process for the preparation of aceclofenac
作者:Schickaneder, H.; Nikolopoulos, A.; Murphy, T.
来源:WO 9955660
合成路线图解说明:

Alkylation of the sodium salt of diclofenac (I) with benzyl bromoacetate (II) in hot DMF yielded the (arylacetoxy)acetate (III). Subsequent hydrogenolysis of the benzyl ester of (III) in the presence of Pd/C gave the title carboxylic acid. Alternatively, the benzyl ester group of (III) was cleaved by means of the combination of chlorotrimethylsilane and sodium iodide. This method of selective ester hydrolysis with in situ generated iodotrimethylsilane was also applied to the corresponding methyl (IV) and tert-butyl (V) esters. In a related procedure, tert-butyl ester (V) was prepared by alkylation of diclofenac (VI) with tert-butyl bromoacetate (VII) in the presence of tertiary amines. Selective cleavage of the tert-butyl ester group of (V) was then performed by treatment with either trifluoroacetic or formic acid.

参考文献No.58275
标题:Process for obtaining 2-[(2,6-dichlorophenyl)amino]phenylacetoxy acetic acid
作者:Flores Ramos, R. (Almirall Prodesfarma, SA)
来源:ES 2046141
合成路线图解说明:

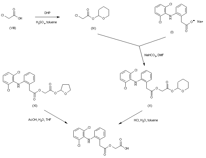
Aceclofenac was prepared by selective hydrolysis of other labile ester precursors. Alkylation of diclofenac sodium (I) with tetrahydropyranyl chloroacetate (IX), prepared by protection of chloroacetic acid (VIII) with dihydropyran, furnished the tetrahydropyranyl ester of aceclofenac (X), which was then deprotected by treatment with HCl. Similarly, the preparation of aceclofenac was reported by acidic hydrolysis of the analogous tetrahydrofuranyl ester (XI).

参考文献No.58592
标题:Process for the preparation of a phenylacetic acid deriv.
作者:Zirngibl, L.; Gnehm, R. (Siegfried AG)
来源:CH 682747
合成路线图解说明:

Aceclofenac was prepared by selective hydrolysis of other labile ester precursors. Alkylation of diclofenac sodium (I) with tetrahydropyranyl chloroacetate (IX), prepared by protection of chloroacetic acid (VIII) with dihydropyran, furnished the tetrahydropyranyl ester of aceclofenac (X), which was then deprotected by treatment with HCl. Similarly, the preparation of aceclofenac was reported by acidic hydrolysis of the analogous tetrahydrofuranyl ester (XI).

Drug Information Express,Drug R&D,Chemical Database,Patent Search.
Copyright © 2006-2026 Drug Future. All rights reserved.Contact Us