【药物名称】Naxaprostene, CG-4305
化学结构式(Chemical Structure):
参考文献No.3661
标题:New cis-bicyclo[3.3.0]octane derivs., medicines containing them and processes for the preparation of these compds. and medicines
作者:B鰄lke, H.; Loschen, G.; Michel, G.; M黮ler, B. (Gr黱enthal GmbH)
来源:DE 3146278
合成路线图解说明:

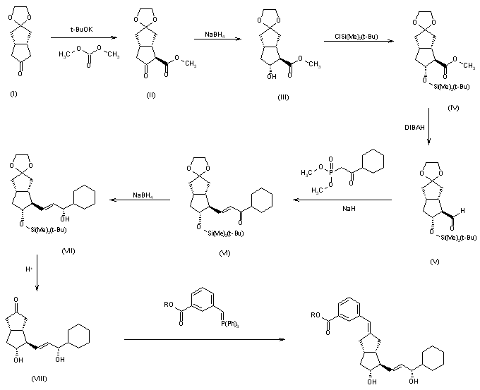
Monoketal (I) is acylated with dimethylcarbonate to (II), reduced with NaBH4 to give (III) and protected with tert-butyldimethylsilylchloride to give (IV). After selective reduction of the ester function of (IV) with DIBAH, the resulting aldehyde (V) undergoes a Wittig-Horner-reaction with dimethyl 2-oxo-2-cyclohexylethylphosphonate to give (VI), which is subsequently reduced with NaBH4. After separation of the epimeric alcohols by silica flash chromatography, (VII) is deprotected with a AcOH/THF/water mixture. Wittig reaction of 3-methoxycarbonylphenylmethylene-triphenylphosphorane with (VIII) gives a mixture of E/Z-isomers, which is separated by preparative HPLC. Ester hydrolysis with KOH and acidification of the E-isomer gives naxaprostene (IX), R = H.

参考文献No.108276
标题:Designing prostacylin analogues
作者:Floh? L.; B鰄lke, H.; Frankus, E.; et al.
来源:Arzneim-Forsch Drug Res 1983,33(9),1240-8
合成路线图解说明:

Monoketal (I) is acylated with dimethylcarbonate to (II), reduced with NaBH4 to give (III) and protected with tert-butyldimethylsilylchloride to give (IV). After selective reduction of the ester function of (IV) with DIBAH, the resulting aldehyde (V) undergoes a Wittig-Horner-reaction with dimethyl 2-oxo-2-cyclohexylethylphosphonate to give (VI), which is subsequently reduced with NaBH4. After separation of the epimeric alcohols by silica flash chromatography, (VII) is deprotected with a AcOH/THF/water mixture. Wittig reaction of 3-methoxycarbonylphenylmethylene-triphenylphosphorane with (VIII) gives a mixture of E/Z-isomers, which is separated by preparative HPLC. Ester hydrolysis with KOH and acidification of the E-isomer gives naxaprostene (IX), R = H.

参考文献No.115226
标题:NAXAPROSTENE
作者:Winter, W.
来源:Drugs Fut 1990,15(3),233
合成路线图解说明:

Monoketal (I) is acylated with dimethylcarbonate to (II), reduced with NaBH4 to give (III) and protected with tert-butyldimethylsilylchloride to give (IV). After selective reduction of the ester function of (IV) with DIBAH, the resulting aldehyde (V) undergoes a Wittig-Horner-reaction with dimethyl 2-oxo-2-cyclohexylethylphosphonate to give (VI), which is subsequently reduced with NaBH4. After separation of the epimeric alcohols by silica flash chromatography, (VII) is deprotected with a AcOH/THF/water mixture. Wittig reaction of 3-methoxycarbonylphenylmethylene-triphenylphosphorane with (VIII) gives a mixture of E/Z-isomers, which is separated by preparative HPLC. Ester hydrolysis with KOH and acidification of the E-isomer gives naxaprostene (IX), R = H.

参考文献No.800896
标题:The crystal structure of CG 4305, a biologically active prostacyclin analogue with exceptional chemical and metabolic stability
作者:Stezowski, J.J.; Floh? L.; B鰄lke, H.
来源:J Chem Soc Chem Commun 1983,1315-6
合成路线图解说明:

Monoketal (I) is acylated with dimethylcarbonate to (II), reduced with NaBH4 to give (III) and protected with tert-butyldimethylsilylchloride to give (IV). After selective reduction of the ester function of (IV) with DIBAH, the resulting aldehyde (V) undergoes a Wittig-Horner-reaction with dimethyl 2-oxo-2-cyclohexylethylphosphonate to give (VI), which is subsequently reduced with NaBH4. After separation of the epimeric alcohols by silica flash chromatography, (VII) is deprotected with a AcOH/THF/water mixture. Wittig reaction of 3-methoxycarbonylphenylmethylene-triphenylphosphorane with (VIII) gives a mixture of E/Z-isomers, which is separated by preparative HPLC. Ester hydrolysis with KOH and acidification of the E-isomer gives naxaprostene (IX), R = H.

Drug Information Express,Drug R&D,Chemical Database,Patent Search.
Copyright © 2006-2026 Drug Future. All rights reserved.Contact Us