【药物名称】Saterinone, BDF-8634
化学结构式(Chemical Structure):
参考文献No.3643
标题:Phenylpiperazinylpropanol derivs.
作者:(Beiersdorf-Lilly GmbH)
来源:DE 3424685; EP 0167121; ES 8608511; JP 1986030573; US 4631279; US 4631281
合成路线图解说明:

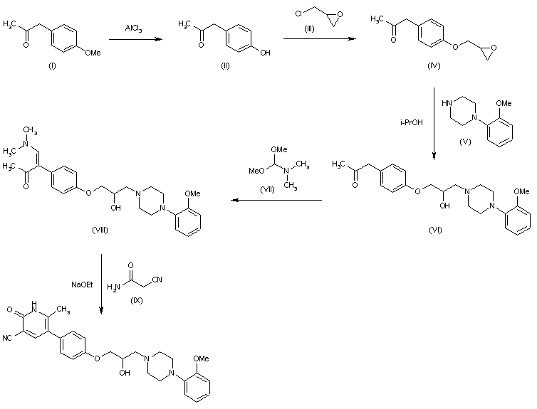
The demethylation of 1-(4-methoxyphenyl)acetone (I) by means of AlCl3 gives the corresponding 4-hydroxy compound (III), which is condensed with epichlorohydrin (III), yielding the expected oxiranylmethyl ether (IV). The addition of 1-(2-methoxyphenyl)piperazine (V) to the epoxide ring of (IV) affords the isopropyl alcohol derivative (VI), which is condensed with dimethylformamide dimethylacetal (VII) to afford the dimethylaminobutenone (VIII). Finally, this compound is cyclized with 2-cyanoacetamide (IX) by means of sodium ethoxide, providing the target pyridone.

参考文献No.101097
标题:SATERINONE (BDF 8634): A DIFFERENT CONCEPT FOR PHARMACOTHERAPY OF CONGESTIVE HEART FAILURE
作者:Armah, B.I.; Stenzel, W.
来源:Drugs Fut 1989,14(5),445
合成路线图解说明:

The demethylation of 1-(4-methoxyphenyl)acetone (I) by means of AlCl3 gives the corresponding 4-hydroxy compound (III), which is condensed with epichlorohydrin (III), yielding the expected oxiranylmethyl ether (IV). The addition of 1-(2-methoxyphenyl)piperazine (V) to the epoxide ring of (IV) affords the isopropyl alcohol derivative (VI), which is condensed with dimethylformamide dimethylacetal (VII) to afford the dimethylaminobutenone (VIII). Finally, this compound is cyclized with 2-cyanoacetamide (IX) by means of sodium ethoxide, providing the target pyridone.

Drug Information Express,Drug R&D,Chemical Database,Patent Search.
Copyright © 2006-2026 Drug Future. All rights reserved.Contact Us