【药物名称】Nanterinone, UK-61260-27(mesylate), UK-61260
化学结构式(Chemical Structure):
参考文献No.3556
标题:Quinolone inotropic agents
作者:Roberts, D.A.; Campbell, S.F. (Pfizer Inc.)
来源:AU 8543032; EP 0166533; ES 8608874; ES 8801797; JP 1986000082; US 4728653
合成路线图解说明:

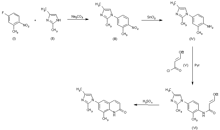
The condensation of 4-fluoro-2-methylnitrobenzene (I) with 2,4-dimethyl-1H-imidazole (II) by means of Na2CO3 in hot DMF gives 4-(2,4-dimethyl-1H-imidazol-1-yl)-2-methylnitrobenzene (III), which is reduced with SnCl2 in refluxing ethanol yielding the corresponding aniline (IV).The condensation of (IV) with trans-3-ethoxypropenoyl chloride in anhydrous pyridine affords the anilide (VI), which is finally cyclized by means of 98% H2SO4.

参考文献No.80595
标题:NANTERINONE < Prop INN>
作者:Prous, J.; Casta馿r, J.
来源:Drugs Fut 1989,14(4),328
合成路线图解说明:

The condensation of 4-fluoro-2-methylnitrobenzene (I) with 2,4-dimethyl-1H-imidazole (II) by means of Na2CO3 in hot DMF gives 4-(2,4-dimethyl-1H-imidazol-1-yl)-2-methylnitrobenzene (III), which is reduced with SnCl2 in refluxing ethanol yielding the corresponding aniline (IV).The condensation of (IV) with trans-3-ethoxypropenoyl chloride in anhydrous pyridine affords the anilide (VI), which is finally cyclized by means of 98% H2SO4.

参考文献No.84890
标题:2(1H)-Quinolinones with cardiac stimulant activity. 2. Synthesis and biological activities of 6-(N-linked, five-membered heteroaryl) derivatives
作者:Alabaster, C.T.; Bell, A.S.; Campbell, S.F.; Ellis, P.; Henderson, C.G.; Morris, D.S.; Roberts, D.A.; Ruddock, K.S.; Samuels, G.M.R.; Stefaniak, M.H.
来源:J Med Chem 1989,32(3),575-83
合成路线图解说明:

The condensation of 4-fluoro-2-methylnitrobenzene (I) with 2,4-dimethyl-1H-imidazole (II) by means of Na2CO3 in hot DMF gives 4-(2,4-dimethyl-1H-imidazol-1-yl)-2-methylnitrobenzene (III), which is reduced with SnCl2 in refluxing ethanol yielding the corresponding aniline (IV).The condensation of (IV) with trans-3-ethoxypropenoyl chloride in anhydrous pyridine affords the anilide (VI), which is finally cyclized by means of 98% H2SO4.

Drug Information Express,Drug R&D,Chemical Database,Patent Search.
Copyright © 2006-2026 Drug Future. All rights reserved.Contact Us