【药物名称】Nebivolol, R-67145((-)-enantiomer), R-67138((+)-enantiomer), ME-3255, R-67555(hydrochloride), R-65824, Silostar, Lobivon, Nebilet(HCl)
化学结构式(Chemical Structure):
参考文献No.109630
标题:NEBIVOLOL < Prop INN; USAN >
作者:Prous, J.; Casta馿r, J.
来源:Drugs Fut 1989,14(10),957
合成路线图解说明:

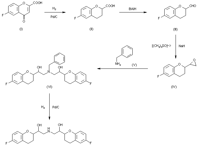
The reduction of 6-fluoro-4-oxobenzopyran-2-carboxylic acid (I) with H2 over Pd/C in acetic acid gives 6-fluoro-3,4-dihydro-2H-benzopyran-2-carboxylic acid (II), which is reduced again with bis(2-methylpropyl)aluminum hydride and 1,1'-carbonylbis(1H-imidazole) in THF yielding 6-fluoro-3,4-dihydro-2H-benzopyran-2-carboxaldehyde (III). The reaction of (III) with trimethylsulfoxonium iodide and NaH in DMSO affords 2-oxiranyl-3,4-dihydro-2H-benzopyran (IV), which is condensed with benzylamine (V) in refluxing ethanol to give the benzyl derivative of nebivolol (VI). Finally, this compound is deprotected by hydrogenation with H2 over Pd/C in methanol.

参考文献No.591040
标题:Enantioselective total synthesis of the antihypertensive agent (S,R,R,R)-nebivolol
作者:Chandrasekhar, S.; Reddy, M.V.
来源:Tetrahedron 2000,56(34),6339
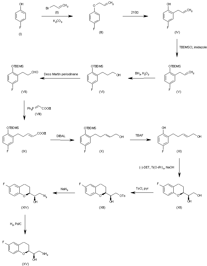
合成路线图解说明:

The chiral amine intermediate (XV) has been obtained as follows: The alkylation of 4-fluorophenol (I) with allyl bromide (II) and K2CO3 gives the allyl ether (III), which by thermal rearrangement at 210 C yields 2-allyl-4-fluorophenol (IV). The silylation of (IV) with TBDMS-Cl and imidazole affords the silyl ether (V), which is submitted to hydroboration with BH3 and H2O2 to provide the propanol (VI). The oxidation of (VI) with Dess Martin periodinane (DMP) gives the aldehyde (VII), which is condensed with the phosphorane (VIII) to yield the pentenoic ester (IX). The reduction of (IX) with DIBAL affords the unsaturated alcohol, which is desilylated with TBAF in THF furnishing the diol (XI). The treatment of (XI) under the Sharpless asymmetric epoxidation conditions ((-)-DET and titanium tetraisopropoxide) gives, after cyclization with NaOH, 1(R)-(6-fluoro-3,4-dihydro-2H-1-benzopyran-2(S)-yl)-1,2-ethanediol (XII), which is selectively tosylated with TsCl and pyridine yielding the monotosylate (XIII). The reaction of (XIII) with sodium azide in DMF affords the azide (XIV), which is reduced to the corresponding amine (XV) with H2 over Pd/C in ethanol.

合成路线图解说明:

The treatment of (XI) under the Sharpless asymmetric epoxidation conditions (but using (+)-DET and titanium tetraisopropoxide) gives, after cyclization with NaOH, 1(S)-(6-fluoro-3,4-dihydro-2H-1-benzopyran-2(R)-yl)-1,2-ethanediol (XVI), which is benzoylated with 4-nitrobenzoic acid (XVII), DEAD and PPh3 yielding the dibenzoate (XVIII), with inversion of the configuration at the OH group. The hydrolysis of (XVIII) with NaOMe in methanol affords, 1(R)-(6-fluoro-3,4-dihydro-2H-1-benzopyran-2(R)-yl)-1,2-ethanediol (XIX), which is selectively tosylated with TsCl and pyridine giving the monotosylate (XX). The cyclization of (XX) with NaOMe furnishes the expected epoxide (XXI), which is finally condensed with the previously described intermediate amine (XV).

参考文献No.900155
标题:Derivatives of 2,2'-iminobisethanol.
作者:Van Lommen, G.R.E.; De Bruyn, M.F.L.; Schroven, M.F.J. (Janssen Pharmaceutica NV)
来源:AU 8436326; EP 145067; JP 85132977; US 4654362
合成路线图解说明:

The reduction of 6-fluoro-4-oxobenzopyran-2-carboxylic acid (I) with H2 over Pd/C in acetic acid gives 6-fluoro-3,4-dihydro-2H-benzopyran-2-carboxylic acid (II), which is reduced again with bis(2-methylpropyl)aluminum hydride and 1,1'-carbonylbis(1H-imidazole) in THF yielding 6-fluoro-3,4-dihydro-2H-benzopyran-2-carboxaldehyde (III). The reaction of (III) with trimethylsulfoxonium iodide and NaH in DMSO affords 2-oxiranyl-3,4-dihydro-2H-benzopyran (IV), which is condensed with benzylamine (V) in refluxing ethanol to give the benzyl derivative of nebivolol (VI). Finally, this compound is deprotected by hydrogenation with H2 over Pd/C in methanol.

Drug Information Express,Drug R&D,Chemical Database,Patent Search.
Copyright © 2006-2026 Drug Future. All rights reserved.Contact Us