【药物名称】Indolidan, LY-195115
化学结构式(Chemical Structure):
参考文献No.53867
标题:LY-195115
作者:Hayes, J.S.; Robertson, D.W.
来源:Drugs Fut 1986,11(5),377
合成路线图解说明:

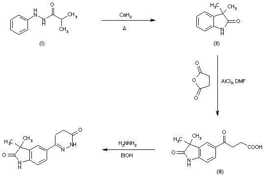
Rearrangement of 2-methylpropanoic acid, 2-phenylhydrazide (I) provides 1,3-dihydro-3,3-dimethyl-2H-indol-2-one (II). Friedel Crafts' acylation of (II) with succinic anhydride in an aluminum chloride/DMF melt results in the formation of 4-oxobutanoic acid (III). Cyclization of (III) with hydrazine in refluxing ethanol completes the preparation of LY-195115.

参考文献No.89175
标题:Dihydropyridazinone cardiotonics: The discovery and inotropic activity of 1,3-dihydro-3,3-dimethyl-5-(1,4,5,6-tetrahydro-6-oxo-3-pyridazinyl)-2H-indol-2-one
作者:Robertson, D.W.; et al.
来源:J Med Chem 1986,29(10),1832-40
合成路线图解说明:

Rearrangement of 2-methylpropanoic acid, 2-phenylhydrazide (I) provides 1,3-dihydro-3,3-dimethyl-2H-indol-2-one (II). Friedel Crafts' acylation of (II) with succinic anhydride in an aluminum chloride/DMF melt results in the formation of 4-oxobutanoic acid (III). Cyclization of (III) with hydrazine in refluxing ethanol completes the preparation of LY-195115.

Drug Information Express,Drug R&D,Chemical Database,Patent Search.
Copyright © 2006-2026 Drug Future. All rights reserved.Contact Us