【药物名称】RPH-2823
化学结构式(Chemical Structure):
参考文献No.3526
标题:Pteridine compounds
作者:Rietzel, C.; et al. (R鰄m GmbH)
来源:BE 0901850
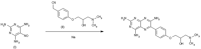
合成路线图解说明:

By cyclization of 2,4,6-triamino-5-nitrosopyrimidine (I) with 2-(4-(3-dimethylamino-2-hydroxypropoxy)phenylacetonitrite (II) by means of Na in refluxing ethylene glycol monoethyl ether.

参考文献No.53844
标题:RPH-2823
作者:Prous, J.; Casta馿r, J.
来源:Drugs Fut 1986,11(8),669
合成路线图解说明:

By cyclization of 2,4,6-triamino-5-nitrosopyrimidine (I) with 2-(4-(3-dimethylamino-2-hydroxypropoxy)phenylacetonitrite (II) by means of Na in refluxing ethylene glycol monoethyl ether.

Drug Information Express,Drug R&D,Chemical Database,Patent Search.
Copyright © 2006-2026 Drug Future. All rights reserved.Contact Us