【药物名称】Piroxicam cinnamate, Cinnoxicam, SPA-S-510, Sinartrol
化学结构式(Chemical Structure):
参考文献No.10027
标题:Process for preparing benzothiazine compds
作者:Bruzzese, T.; Dell'Acqua, E.; Ottonni, F.; Van den Heuvel, H.H. (SPA (Societa Prodotti Antibiotici))
来源:EP 0146102
合成路线图解说明:

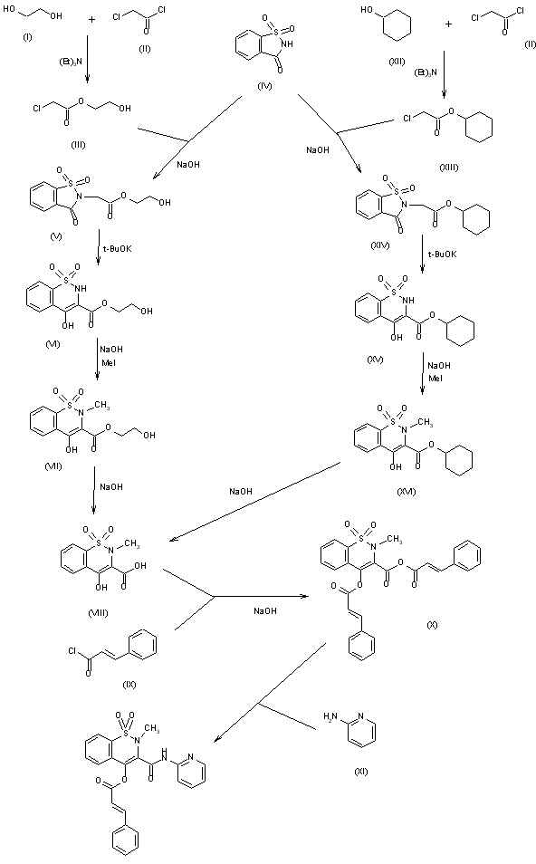
This compound can be prepared by two similar ways: 1) The monoacylation of ethylene glycol (I) with chloroacetyl chloride (II) and triethylamine gives 2-hydroxyethyl chloroacetate (III), which is condensed with saccharine (IV) by means of NaOH in ethylene glycol yielding 2-hydroxyethyl 3-oxo-1,2-benzisothiazoline-2-acetate 1,1-dioxide (V). Isomerization of (V) by means of potassium tert-butoxide in DMSO affords2-hydroxyethyl 4-hydroxy-2H-1,2-benzothiazine-3-carboxylate 1,1-dioxide (VI), which is methylated with NaOH and methyl iodide in aqueous ethanol giving the corresponding N-methyl derivative (VII). Hydrolysis of (VII) with NaOH in ethanol - water yields the corresponding free acid (VIII), which is acylated with cinnamoyl chloride (IX) by means of triethylamine in dichloromethane to afford the biscinnamoyl derivative (X). Finally, this compound is treated with 2-aminopyridine (XI) in dichloromethane. 2) The preceding sequence can also be carried out with cyclohexanol (XII) instead of ethylene glycol (I), then producing compounds (XIII), (XIV), (XV) and (XVI), which by hydrolysis affords the free acid (VIII).

参考文献No.53180
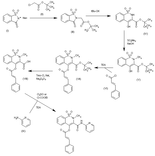
标题:4-Cinnamoyloxy-2-methyl-N-(2-pyridyl)-2H-1,2-benzothiazine-3-carboxamide 1,1-dioxide, process for obtaining it and intermediates for its preparation
作者:Montserrat Vidal, C.; Serra Masia, J. (Laboratorios Salvat SA)
来源:ES 2053395
合成路线图解说明:

The condensation of sodium saccharin (I) with tert-butyl chloroacetate (II) in hot DMF gives the benzoisothiazolin-acetic ester (III), which is rearranged by means of potassium tert-butoxide in THF to yield 4-hydroxy-2H-1,2-benzothiazine-3-carboxylic acid tert-butyl ester 1,1-dioxide (IV). The methylation of (IV) with dimethyl sulfate and NaOH in water affords the 2-methyl derivative (V), which is acylated with cinnamoyl chloride (VI) and TEA in DMF to provide the 4-cinnamoyloxy derivative (VII). The cleavage of the tert-butyl group of (VII) by means of Tms-Cl, NaI and sodium thiosulfate gives the expected free acid (VIII), which is finally condensed with 2-aminopyridine (IX), previous activation with Cl2SO or ethyl chloroformate, and TEA in chloroform or dichloromethane to give rise to the target amide.

参考文献No.101817
标题:CINNOXICAM
作者:Prous, J.; Casta馿r, J.
来源:Drugs Fut 1990,15(2),119
合成路线图解说明:

This compound can be prepared by two similar ways: 1) The monoacylation of ethylene glycol (I) with chloroacetyl chloride (II) and triethylamine gives 2-hydroxyethyl chloroacetate (III), which is condensed with saccharine (IV) by means of NaOH in ethylene glycol yielding 2-hydroxyethyl 3-oxo-1,2-benzisothiazoline-2-acetate 1,1-dioxide (V). Isomerization of (V) by means of potassium tert-butoxide in DMSO affords2-hydroxyethyl 4-hydroxy-2H-1,2-benzothiazine-3-carboxylate 1,1-dioxide (VI), which is methylated with NaOH and methyl iodide in aqueous ethanol giving the corresponding N-methyl derivative (VII). Hydrolysis of (VII) with NaOH in ethanol - water yields the corresponding free acid (VIII), which is acylated with cinnamoyl chloride (IX) by means of triethylamine in dichloromethane to afford the biscinnamoyl derivative (X). Finally, this compound is treated with 2-aminopyridine (XI) in dichloromethane. 2) The preceding sequence can also be carried out with cyclohexanol (XII) instead of ethylene glycol (I), then producing compounds (XIII), (XIV), (XV) and (XVI), which by hydrolysis affords the free acid (VIII).

Drug Information Express,Drug R&D,Chemical Database,Patent Search.
Copyright © 2006-2026 Drug Future. All rights reserved.Contact Us