【药物名称】Ketoconazole, R-41400, Sebazole, Extina, Panfungol, Ketoderm, Nizoral
化学结构式(Chemical Structure):
参考文献No.45335
标题:1-(1,3-Dioxolan-2-ylmethyl)-1H-imidazoles
作者:Backx, L.J.J.; Mostmans, J.H.; Heeres, J. (Janssen Pharmaceutica NV)
来源:US 4335125
合成路线图解说明:

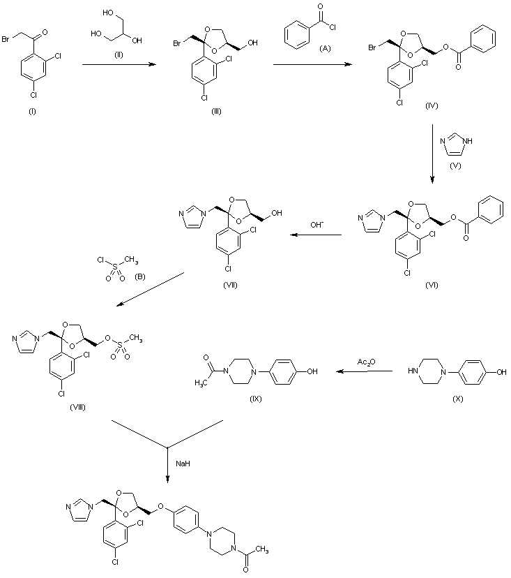
The cyclization of 2,4-dichlorophenacyl bromide (I) with glycerol (II) gives cis-2-(2,4-dichlorophenyl)-2-bromomethyl-4-hydroxymethyl-1,3-dioxolane (III), which is then benzoylated with benzoyl chloride (A) yielding cis-2-(2,4-dichlorophenyl)-2-bromomethyl-4-benzoyloxymethyl-1,3-dioxolane (IV). The condensation of (IV) with 1H-imidazole (V) affords cis-2-(2,4-dichlorophenyl)-2-(1H-imidazol-1-ylmethyl)-4-benzoyloxymethyl-1,3-dioxolane (VI), which is then debenzoylated in basic medium giving cis-2-(2,4-dichlorophenyl)-2-(1H-imidazol-1-ylmethyl)-4-hydroxymethyl-1,3-dioxolane (VII). The reaction of (VII) with methanesulfonyl chloride (B) yields cis-2-(2,4-dichlorophenyl)-2-(1H-imidazol-1-ylmethyl)-1,3-dioxolan-4-ylmethyl methanesulfonate (VIII). Finally, this compound is condensed with 1-acetyl-4-(4-hydroxyphenyl)piperazine (IX) by means of NaH in benzene - DMSO. Compound (IX) is obtained by reaction of 4-(1-piperazinyl)phenol dihydrobromide (X) with acetic anhydride by means of K2CO3 in refluxing acetic acid.

参考文献No.701479
标题:
作者:Heeres, J.; et al.
来源:DE 2804096
合成路线图解说明:

The cyclization of 2,4-dichlorophenacyl bromide (I) with glycerol (II) gives cis-2-(2,4-dichlorophenyl)-2-bromomethyl-4-hydroxymethyl-1,3-dioxolane (III), which is then benzoylated with benzoyl chloride (A) yielding cis-2-(2,4-dichlorophenyl)-2-bromomethyl-4-benzoyloxymethyl-1,3-dioxolane (IV). The condensation of (IV) with 1H-imidazole (V) affords cis-2-(2,4-dichlorophenyl)-2-(1H-imidazol-1-ylmethyl)-4-benzoyloxymethyl-1,3-dioxolane (VI), which is then debenzoylated in basic medium giving cis-2-(2,4-dichlorophenyl)-2-(1H-imidazol-1-ylmethyl)-4-hydroxymethyl-1,3-dioxolane (VII). The reaction of (VII) with methanesulfonyl chloride (B) yields cis-2-(2,4-dichlorophenyl)-2-(1H-imidazol-1-ylmethyl)-1,3-dioxolan-4-ylmethyl methanesulfonate (VIII). Finally, this compound is condensed with 1-acetyl-4-(4-hydroxyphenyl)piperazine (IX) by means of NaH in benzene - DMSO. Compound (IX) is obtained by reaction of 4-(1-piperazinyl)phenol dihydrobromide (X) with acetic anhydride by means of K2CO3 in refluxing acetic acid.

参考文献No.800532
标题:Ketoconazole
作者:Blancafort, P.; Sweetman, A.J.; Casta馿r, J.; Serradell, M.N.
来源:Drugs Fut 1979,4(7),496
合成路线图解说明:

The cyclization of 2,4-dichlorophenacyl bromide (I) with glycerol (II) gives cis-2-(2,4-dichlorophenyl)-2-bromomethyl-4-hydroxymethyl-1,3-dioxolane (III), which is then benzoylated with benzoyl chloride (A) yielding cis-2-(2,4-dichlorophenyl)-2-bromomethyl-4-benzoyloxymethyl-1,3-dioxolane (IV). The condensation of (IV) with 1H-imidazole (V) affords cis-2-(2,4-dichlorophenyl)-2-(1H-imidazol-1-ylmethyl)-4-benzoyloxymethyl-1,3-dioxolane (VI), which is then debenzoylated in basic medium giving cis-2-(2,4-dichlorophenyl)-2-(1H-imidazol-1-ylmethyl)-4-hydroxymethyl-1,3-dioxolane (VII). The reaction of (VII) with methanesulfonyl chloride (B) yields cis-2-(2,4-dichlorophenyl)-2-(1H-imidazol-1-ylmethyl)-1,3-dioxolan-4-ylmethyl methanesulfonate (VIII). Finally, this compound is condensed with 1-acetyl-4-(4-hydroxyphenyl)piperazine (IX) by means of NaH in benzene - DMSO. Compound (IX) is obtained by reaction of 4-(1-piperazinyl)phenol dihydrobromide (X) with acetic anhydride by means of K2CO3 in refluxing acetic acid.

Drug Information Express,Drug R&D,Chemical Database,Patent Search.
Copyright © 2006-2026 Drug Future. All rights reserved.Contact Us