【药物名称】Pivalopril, Pivopril, USV 3659(S), RHC 3659(S), REV 3659(S)
化学结构式(Chemical Structure):
参考文献No.53802
标题:Pivopril
作者:Casta馿r, J.; Serradell, M.N.
来源:Drugs Fut 1986,11(2),116
合成路线图解说明:

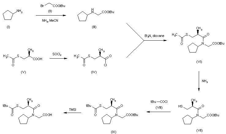
The reaction of cyclopentylamine (I) with tertbutyl bromoacetate (II) by means of NH3 in acetonitrile gives N-cyclopentylglycine tert-butyl ester (III), which is condensed with 3-(acetylthio)-2-methylpropionyl chloride (IV) [prepared from the corresponding acid (V) with SOCl2] by means of triethylamine in dioxane to yield the acylated glycine (VI). Deacetylation of (VI) with dry ammonia in methanol affords the mercapto derivative (VII), which is acylated with pivaloyl chloride (VIII) in the usual way giving the corresponding thio ester (IX). Finally, this compound is hydrolyzed partially with trimethylsilyl iodide in methylene chloride.

参考文献No.607708
标题:Angiotensin-converting enzyme inhibitors. New orraly active antihypertensive (mercaptoalkanoyl)- and [(acylthio)alkanoyl]glycine derivatives
作者:Suh, J.T.; Skiles, J.W.; Williams, B.E.; Youssefyeh, R.D.; Jones, H.; Loev, B.; Neiss, E.S.; Schwab, A.; Mann, W.S.; Khandwala, A.; et al.
来源:J Med Chem 1985,28(1),57-66
合成路线图解说明:

The reaction of cyclopentylamine (I) with tertbutyl bromoacetate (II) by means of NH3 in acetonitrile gives N-cyclopentylglycine tert-butyl ester (III), which is condensed with 3-(acetylthio)-2-methylpropionyl chloride (IV) [prepared from the corresponding acid (V) with SOCl2] by means of triethylamine in dioxane to yield the acylated glycine (VI). Deacetylation of (VI) with dry ammonia in methanol affords the mercapto derivative (VII), which is acylated with pivaloyl chloride (VIII) in the usual way giving the corresponding thio ester (IX). Finally, this compound is hydrolyzed partially with trimethylsilyl iodide in methylene chloride.

Drug Information Express,Drug R&D,Chemical Database,Patent Search.
Copyright © 2006-2026 Drug Future. All rights reserved.Contact Us