【药物名称】FPL-55712
化学结构式(Chemical Structure):
参考文献No.47462
标题:Chromone derivs.
作者:Augstein, J.; Lee, T.B.; Carter, D. (AstraZeneca plc)
来源:FR 2147287
合成路线图解说明:

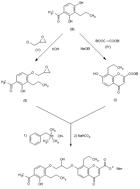
By condensation of ethyl 8-propyl-7-hydroxy-4-oxo-4H-1-benzopyran-2-carboxylate (I) with 4-(2,3-epoxypropoxy)-3-propyl-2-hydroxyacetophenone (II) by means of benzyltrimethylammonium hydroxide in refluxing DMF, followed by hydrolysis with NaHCO3 in refluxing ethanol - water. The starting compounds (I) and (II) are prepared as follows: 1) The condensation of 3-propyl-2,4-dihydroxyacetophenone (III) with diethyl oxalate (IV) by means of sodium ethoxide in refluxing ethanol gives (I). 2) The condensation of acetophenone (III) with 1-chloro-2,3-epoxypropane (V) by means of KOH in refluxing ethanol - water gives (II).

参考文献No.47463
标题:Chrome cpds. having SRS-A properties
作者:Augstein, J.; Carter, D.; Lee, T.B. (AstraZeneca plc)
来源:US 3882148
合成路线图解说明:

By condensation of ethyl 8-propyl-7-hydroxy-4-oxo-4H-1-benzopyran-2-carboxylate (I) with 4-(2,3-epoxypropoxy)-3-propyl-2-hydroxyacetophenone (II) by means of benzyltrimethylammonium hydroxide in refluxing DMF, followed by hydrolysis with NaHCO3 in refluxing ethanol - water. The starting compounds (I) and (II) are prepared as follows: 1) The condensation of 3-propyl-2,4-dihydroxyacetophenone (III) with diethyl oxalate (IV) by means of sodium ethoxide in refluxing ethanol gives (I). 2) The condensation of acetophenone (III) with 1-chloro-2,3-epoxypropane (V) by means of KOH in refluxing ethanol - water gives (II).

参考文献No.84595
标题:FPL-55,712
作者:Blancafort, P.; Casta馿r, J.; Sneddon, J.M.; Serradell, M.N.
来源:Drugs Fut 1982,7(7),472
合成路线图解说明:

By condensation of ethyl 8-propyl-7-hydroxy-4-oxo-4H-1-benzopyran-2-carboxylate (I) with 4-(2,3-epoxypropoxy)-3-propyl-2-hydroxyacetophenone (II) by means of benzyltrimethylammonium hydroxide in refluxing DMF, followed by hydrolysis with NaHCO3 in refluxing ethanol - water. The starting compounds (I) and (II) are prepared as follows: 1) The condensation of 3-propyl-2,4-dihydroxyacetophenone (III) with diethyl oxalate (IV) by means of sodium ethoxide in refluxing ethanol gives (I). 2) The condensation of acetophenone (III) with 1-chloro-2,3-epoxypropane (V) by means of KOH in refluxing ethanol - water gives (II).

参考文献No.608337
标题:Antagonits of slow reacting substance od anaphylaxis. Synthesis of a series of chromone-2-carboxylic acids
作者:Appleton, R.A.; Bantick, J..; Chamberlain, T.R.; Hardern, D.N.; Lee, T.B.; Pratt, A.D.
来源:J Med Chem 1979,20(3),371
合成路线图解说明:

By condensation of ethyl 8-propyl-7-hydroxy-4-oxo-4H-1-benzopyran-2-carboxylate (I) with 4-(2,3-epoxypropoxy)-3-propyl-2-hydroxyacetophenone (II) by means of benzyltrimethylammonium hydroxide in refluxing DMF, followed by hydrolysis with NaHCO3 in refluxing ethanol - water. The starting compounds (I) and (II) are prepared as follows: 1) The condensation of 3-propyl-2,4-dihydroxyacetophenone (III) with diethyl oxalate (IV) by means of sodium ethoxide in refluxing ethanol gives (I). 2) The condensation of acetophenone (III) with 1-chloro-2,3-epoxypropane (V) by means of KOH in refluxing ethanol - water gives (II).

Drug Information Express,Drug R&D,Chemical Database,Patent Search.
Copyright © 2006-2026 Drug Future. All rights reserved.Contact Us