【药物名称】Voglibose, A-71100, AO-128, Basen, Glustat
化学结构式(Chemical Structure):
参考文献No.3456
标题:N-substituted pseudo-aminosugars, their production and use
作者:Horii, S.; Kameda, Y.; Fukase, H. (Takeda Chemical Industries, Ltd.)
来源:EP 0056194; US 4701559; US 4777294; US 4803303
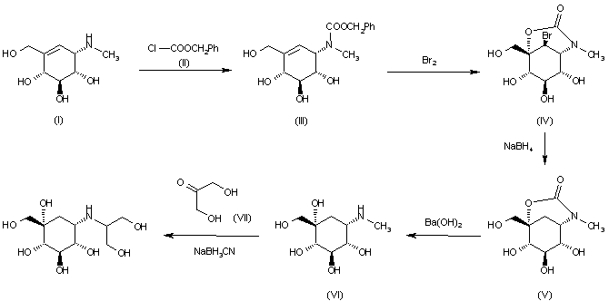
合成路线图解说明:

The acylation of valienamine (I) with benzyloxycarbonyl chloride (II) by means of NaHCO3 in ethyl acetate gives the corresponding N-benzyloxycarbonyl derivative (III), which by reaction with Br2 in water is converted to the cyclic carbamate (IV). Elimination of bromine from (IV) with NaBH4 in water affords the new cyclic carbamate (V), which by hydrolysis with Ba(OH)2 in refluxing water is converted to valiolamine (VI). Finally, this compound is reductocondensed with 1,3-dihydroxyacetone (VII) and sodium cyanoborohydride in DMF 2N HCl.

参考文献No.53753
标题:AO-128
作者:Prous, J.; Casta馿r, J.
来源:Drugs Fut 1986,11(9),729
合成路线图解说明:

The acylation of valienamine (I) with benzyloxycarbonyl chloride (II) by means of NaHCO3 in ethyl acetate gives the corresponding N-benzyloxycarbonyl derivative (III), which by reaction with Br2 in water is converted to the cyclic carbamate (IV). Elimination of bromine from (IV) with NaBH4 in water affords the new cyclic carbamate (V), which by hydrolysis with Ba(OH)2 in refluxing water is converted to valiolamine (VI). Finally, this compound is reductocondensed with 1,3-dihydroxyacetone (VII) and sodium cyanoborohydride in DMF 2N HCl.

参考文献No.555889
标题:Synthesis and alpha-D-glucosidase inhibitory activity of N-substituted valiolamine derivatives as potential oral antidiabetic agents
作者:Horii, S.; Fukase, H..; Matsuo, T.; Kameda, Y.; Asano, N.; Matsui, K.
来源:J Med Chem 1986,29(6),1038
合成路线图解说明:

The acylation of valienamine (I) with benzyloxycarbonyl chloride (II) by means of NaHCO3 in ethyl acetate gives the corresponding N-benzyloxycarbonyl derivative (III), which by reaction with Br2 in water is converted to the cyclic carbamate (IV). Elimination of bromine from (IV) with NaBH4 in water affords the new cyclic carbamate (V), which by hydrolysis with Ba(OH)2 in refluxing water is converted to valiolamine (VI). Finally, this compound is reductocondensed with 1,3-dihydroxyacetone (VII) and sodium cyanoborohydride in DMF 2N HCl.

Drug Information Express,Drug R&D,Chemical Database,Patent Search.
Copyright © 2006-2026 Drug Future. All rights reserved.Contact Us