【药物名称】Beraprost sodium, RU-55100, ML-1229(free acid), ML-1129, TRK-100, Beraprost, Dorner, Procylin
化学结构式(Chemical Structure):
参考文献No.3451
标题:5,6,7-Trinor-4,8-inter-m-phenylene protaglandin I2 derivatives useful in anti-ulcer, hypotensive and platelet aggregation inhibiting compositions
作者:Ohno, K.; Nagase, H.; Matsumoto, K.; Nishio, S. (Toray Industries, Inc.)
来源:EP 0084856; JP 58124778; US 4474802
合成路线图解说明:

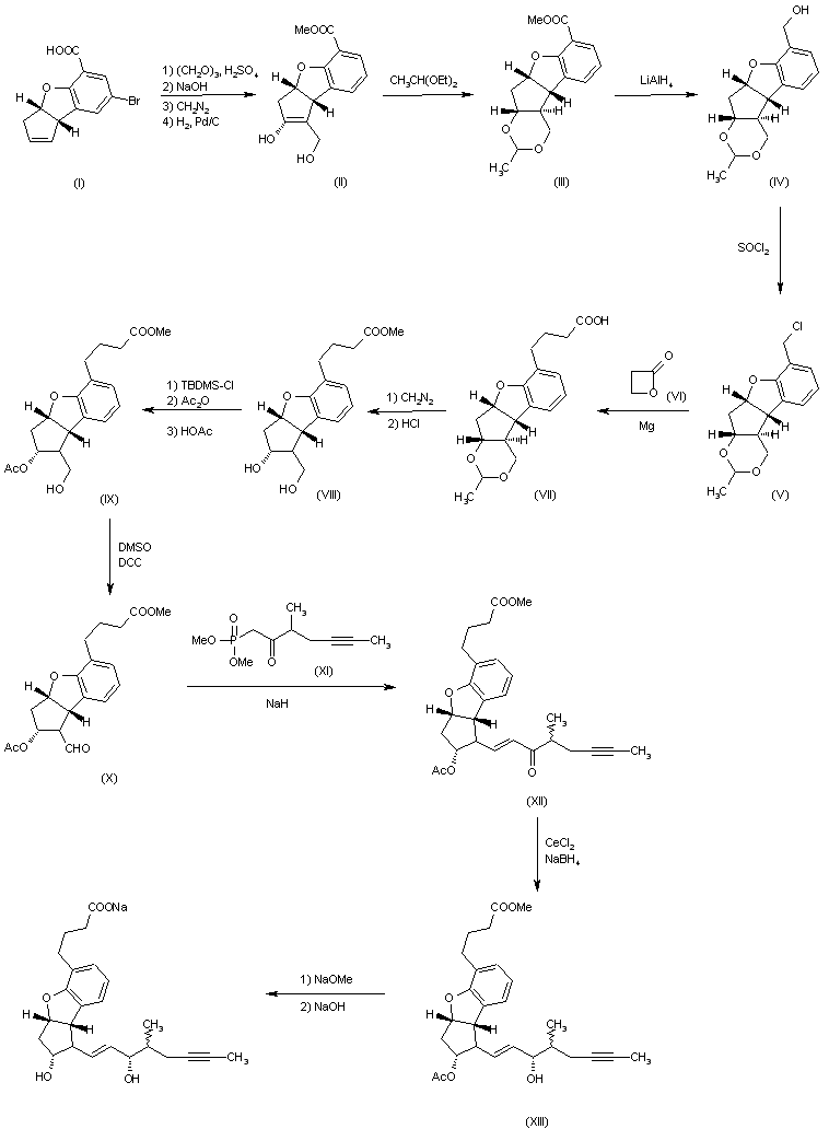
The reaction of 7-bromo-3a,8b-cis-3a,8b dihydro-3H-5-cyclopenta[b]benzofurancarboxylic acid (I) with trioxane and H2SO4, followed by methylation with diazomethane and debromination with H2 over Pd/C, gives the hydroxymethyl compound (II), which is protected with 1,1-diethoxyethane and p-toluenesulfonic acid to give the protected ester (III). Reduction of the ester (III) with LiAlH4 in THF affords the corresponding hydroxymethyl compound (IV), which by reaction with SOCl2 in DMF is converted to the chlorometnyl derivative (VI). The condensation of (V) with beta-propiolactone (VI) by means of Mg in TFH gives the phenylbutyric acid (VII), which by methylation with diazomethane and deprotection with HCl in metnanol yields the dihydroxyester (VIII). Selective acetylation of (VIII) by reaction with trimethyl-tert-butylchlorosilane, then with acetic anhydride and final desilylation with acetic acid affords methyl 4-(2alpha-acetoxy-1-hydroxymethyl-2,3,3a,8b-tetrahydro-1H-cyclopenta[b]benzofuranyl)butyrate (IX), which is oxidized with DMSO. dicyclohexylcarbodiimide (DCC) and trifluoroacetic acid to the corresponding aldehyde (X). The Wittig condensation of (X) with dimethyl 3-methyl-2-oxohept-5-yn-1-yl phosphonate (XI) by means of NaH in DMF affords 11,15-dideoxy-11-acetoxy-16-methyl-15-oxo-18,19-tetradehydro-5,6,7-trinor-4,8-inter-m-phenylene-prostaglandin I2 methyl ester (XII), vvhich is reduced with cerium chloride and NaBH4 in methanol to the corresponding 15-hydroxy compound (XIII). Finally, this compound is deacetylated and saponified as usual.

参考文献No.3452
标题:Preparation of 5,6,7-trinor-4,8-inter-m-phenylene pgi2derivative
作者:Matsumoto, K.; Nagase, H.; Ohno, K. (Toray Industries, Inc.)
来源:JP 1984134787
合成路线图解说明:

The reaction of 7-bromo-3a,8b-cis-3a,8b dihydro-3H-5-cyclopenta[b]benzofurancarboxylic acid (I) with trioxane and H2SO4, followed by methylation with diazomethane and debromination with H2 over Pd/C, gives the hydroxymethyl compound (II), which is protected with 1,1-diethoxyethane and p-toluenesulfonic acid to give the protected ester (III). Reduction of the ester (III) with LiAlH4 in THF affords the corresponding hydroxymethyl compound (IV), which by reaction with SOCl2 in DMF is converted to the chlorometnyl derivative (VI). The condensation of (V) with beta-propiolactone (VI) by means of Mg in TFH gives the phenylbutyric acid (VII), which by methylation with diazomethane and deprotection with HCl in metnanol yields the dihydroxyester (VIII). Selective acetylation of (VIII) by reaction with trimethyl-tert-butylchlorosilane, then with acetic anhydride and final desilylation with acetic acid affords methyl 4-(2alpha-acetoxy-1-hydroxymethyl-2,3,3a,8b-tetrahydro-1H-cyclopenta[b]benzofuranyl)butyrate (IX), which is oxidized with DMSO. dicyclohexylcarbodiimide (DCC) and trifluoroacetic acid to the corresponding aldehyde (X). The Wittig condensation of (X) with dimethyl 3-methyl-2-oxohept-5-yn-1-yl phosphonate (XI) by means of NaH in DMF affords 11,15-dideoxy-11-acetoxy-16-methyl-15-oxo-18,19-tetradehydro-5,6,7-trinor-4,8-inter-m-phenylene-prostaglandin I2 methyl ester (XII), vvhich is reduced with cerium chloride and NaBH4 in methanol to the corresponding 15-hydroxy compound (XIII). Finally, this compound is deacetylated and saponified as usual.

参考文献No.53743
标题:TRK-100
作者:Casta馿r, J.; Prous, J.
来源:Drugs Fut 1986,11(11),956
合成路线图解说明:

The reaction of 7-bromo-3a,8b-cis-3a,8b dihydro-3H-5-cyclopenta[b]benzofurancarboxylic acid (I) with trioxane and H2SO4, followed by methylation with diazomethane and debromination with H2 over Pd/C, gives the hydroxymethyl compound (II), which is protected with 1,1-diethoxyethane and p-toluenesulfonic acid to give the protected ester (III). Reduction of the ester (III) with LiAlH4 in THF affords the corresponding hydroxymethyl compound (IV), which by reaction with SOCl2 in DMF is converted to the chlorometnyl derivative (VI). The condensation of (V) with beta-propiolactone (VI) by means of Mg in TFH gives the phenylbutyric acid (VII), which by methylation with diazomethane and deprotection with HCl in metnanol yields the dihydroxyester (VIII). Selective acetylation of (VIII) by reaction with trimethyl-tert-butylchlorosilane, then with acetic anhydride and final desilylation with acetic acid affords methyl 4-(2alpha-acetoxy-1-hydroxymethyl-2,3,3a,8b-tetrahydro-1H-cyclopenta[b]benzofuranyl)butyrate (IX), which is oxidized with DMSO. dicyclohexylcarbodiimide (DCC) and trifluoroacetic acid to the corresponding aldehyde (X). The Wittig condensation of (X) with dimethyl 3-methyl-2-oxohept-5-yn-1-yl phosphonate (XI) by means of NaH in DMF affords 11,15-dideoxy-11-acetoxy-16-methyl-15-oxo-18,19-tetradehydro-5,6,7-trinor-4,8-inter-m-phenylene-prostaglandin I2 methyl ester (XII), vvhich is reduced with cerium chloride and NaBH4 in methanol to the corresponding 15-hydroxy compound (XIII). Finally, this compound is deacetylated and saponified as usual.

Drug Information Express,Drug R&D,Chemical Database,Patent Search.
Copyright © 2006-2026 Drug Future. All rights reserved.Contact Us