【药物名称】Suramin sodium, NF-060, CI-1003, NSC-34936, Germanin, Moranyl, Antrypol, Metaret
化学结构式(Chemical Structure):
参考文献No.53729
标题:Suramin Sodium
作者:Casta馿r, J.; Serradell, M.N.
来源:Drugs Fut 1986,11(10),860
合成路线图解说明:

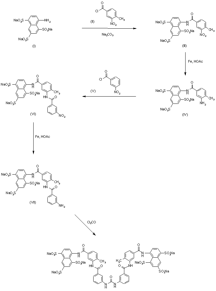
Several procedures for obtaining titte compound have been reported: In one method the acylation of 1 naphthylamine 4,6,8-trisulfonic acid trisodium salt (I) with 4 methyl-3-nitrobenzoyt chloride (II) yields the correspond ing amide (III), which is reduced with Fe in acetic acid to the amine (IV). Acylation of (IV) with 3-nitrobenzoyl chloride (V) affords the nitro diamide (VI), which is reduced with Fe and acetic acid before to the amine (VII). Finally, this compound is condensed with phosgene.

参考文献No.700229
标题:
作者:Fourneau; et al.
来源:Compt Rend Acad Sci 1924,178675
合成路线图解说明:

Several procedures for obtaining titte compound have been reported: In one method the acylation of 1 naphthylamine 4,6,8-trisulfonic acid trisodium salt (I) with 4 methyl-3-nitrobenzoyt chloride (II) yields the correspond ing amide (III), which is reduced with Fe in acetic acid to the amine (IV). Acylation of (IV) with 3-nitrobenzoyl chloride (V) affords the nitro diamide (VI), which is reduced with Fe and acetic acid before to the amine (VII). Finally, this compound is condensed with phosgene.

参考文献No.700243
标题:The manufacture of a symmetrical urea of m-aminobenzoyl-m-aminomethylbenzoyl-1-napthylamino-4,6,8-trisulphonate of sodium
作者:Freres, P.; Foruneau, E.; Trefouel, J.
来源:GB 224849
合成路线图解说明:

Several procedures for obtaining titte compound have been reported: In one method the acylation of 1 naphthylamine 4,6,8-trisulfonic acid trisodium salt (I) with 4 methyl-3-nitrobenzoyt chloride (II) yields the correspond ing amide (III), which is reduced with Fe in acetic acid to the amine (IV). Acylation of (IV) with 3-nitrobenzoyl chloride (V) affords the nitro diamide (VI), which is reduced with Fe and acetic acid before to the amine (VII). Finally, this compound is condensed with phosgene.

参考文献No.700248
标题:
作者:Heymann
来源:Angew Chem 1924,37585
合成路线图解说明:

Several procedures for obtaining titte compound have been reported: In one method the acylation of 1 naphthylamine 4,6,8-trisulfonic acid trisodium salt (I) with 4 methyl-3-nitrobenzoyt chloride (II) yields the correspond ing amide (III), which is reduced with Fe in acetic acid to the amine (IV). Acylation of (IV) with 3-nitrobenzoyl chloride (V) affords the nitro diamide (VI), which is reduced with Fe and acetic acid before to the amine (VII). Finally, this compound is condensed with phosgene.

Drug Information Express,Drug R&D,Chemical Database,Patent Search.
Copyright © 2006-2026 Drug Future. All rights reserved.Contact Us