【药物名称】Prinomide triethanolamine, CGS-10787B
化学结构式(Chemical Structure):
参考文献No.1873
标题:alpha-Carbamoyl-pyrrolpropionitriles, process fortheir preparation and pharmaceutical preparations containing them
作者:Walker, G.N. (Novartis AG)
来源:EP 0143142
合成路线图解说明:

The esterification of N-methylpyrrol-2-carboxylic acid (I) with NaH and methyl iodide in DMF gives methyl N methylpyrrol 2 carboxylate (II), which is condensed with acetonitrile by means of NaH in DMF yielding 3-(1-methyl-2-pyrrolyl)-3-oxopropionitrile (III). The reaction of (III) with phenylisocyanate (IV) by means of triethylamine in toluene affords 2-cyano-3-(1-methyl-2-pyrrolyl)-3-oxo-N-phenylpropionamide (V), which is finally treated with triethanolamine (VI) in hot ethanol.

合成路线图解说明:

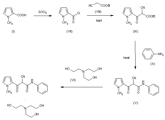
The reaction of acid (I) with SOCl2 in ethyl ether containing triethylamine gives the corresponding acyl chloride (VII), which is condensed with ethyl cyanacetate (VIII) by means of NaH in glyme yielding ethyl 2-cyano-3-(1-methyl-2-pyrrolyl)-3-oxopropanoate (IX). The reaction of (IX) with aniline (X) in refluxing xylene affords the corresponding anilide (V) already obtained.

参考文献No.69973
标题:Prinomide Triethanolamine
作者:Serradell, M.N.; Casta馿r, J.; Casta馿r, R.M.
来源:Drugs Fut 1987,12(8),773
合成路线图解说明:

The esterification of N-methylpyrrol-2-carboxylic acid (I) with NaH and methyl iodide in DMF gives methyl N methylpyrrol 2 carboxylate (II), which is condensed with acetonitrile by means of NaH in DMF yielding 3-(1-methyl-2-pyrrolyl)-3-oxopropionitrile (III). The reaction of (III) with phenylisocyanate (IV) by means of triethylamine in toluene affords 2-cyano-3-(1-methyl-2-pyrrolyl)-3-oxo-N-phenylpropionamide (V), which is finally treated with triethanolamine (VI) in hot ethanol.

合成路线图解说明:

The reaction of acid (I) with SOCl2 in ethyl ether containing triethylamine gives the corresponding acyl chloride (VII), which is condensed with ethyl cyanacetate (VIII) by means of NaH in glyme yielding ethyl 2-cyano-3-(1-methyl-2-pyrrolyl)-3-oxopropanoate (IX). The reaction of (IX) with aniline (X) in refluxing xylene affords the corresponding anilide (V) already obtained.

参考文献No.113826
标题:Synthesis of two 14C-labeled forms of prinomide, a potential anti-inflammatory compound and its hydroxy metabolite, labeled with 14C
作者:Chaudhuri, N.K.; Markus, B.
来源:J Label Compd Radiopharm 1990,28(3),321
合成路线图解说明:

The synthesis of [14C]-labeled prinomide has been described: The carboxylation of 1-methylpyrrole (I) with 14CO2 and butyllithium in THF gives labeled 1-methylpyrrole-2-carboxylic acid (II), which is esterified with diazomethane to the methyl ester (III). The reaction of (III) with acetonitrile by means of NaH in DMF affords 3-(1-methylpyrrol-2-yl)-3-oxopropanenitrile (IV) labeled in the carbonyl group. Finally, this compound is condensed with phenylisocyanate (V) by means of triethylamine in toluene, affording the prinomide labeled in the carbonyl group. The condensation of unlabeled (IV) with (V) labeled in the phenyl ring yields the corresponding prinomide labeled in the aromatic ring.

Drug Information Express,Drug R&D,Chemical Database,Patent Search.
Copyright © 2006-2026 Drug Future. All rights reserved.Contact Us