【药物名称】Lofexidine hydrochloride, MDL-14042, Britlofex
化学结构式(Chemical Structure):
参考文献No.215632
标题:Lofexidine
作者:Blancafort, P.
来源:Drugs Fut 1978,3(8),592
合成路线图解说明:

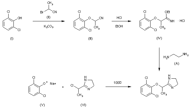
Compound can be prepared in two different ways: 1) The condensation of 2,6-dichlorophenol (I) with alpha-bromopropionitrile (II) by means of K2CO3 in refluxing butanone gives alpha-(2,6-dichlorophenoxy)propionitrile (III), which by hydrolysis with ethanol and HCl affords ethyl ester hydrochloride (IV). Finally, this compound is cyclized with ethylenediamine (A) in ethanol at 70 C. 2) By condensation of sodium 2,6-dichlorophenolate (V) with 2-(alpha-chloroethyl)-2-imidazoline (VI) in refluxing dioxane.

参考文献No.701035
标题:Imidazoline derivatives and processes for the production thereof
作者:Baganz, H.; May, H.J.
来源:US 3966757
合成路线图解说明:

Compound can be prepared in two different ways: 1) The condensation of 2,6-dichlorophenol (I) with alpha-bromopropionitrile (II) by means of K2CO3 in refluxing butanone gives alpha-(2,6-dichlorophenoxy)propionitrile (III), which by hydrolysis with ethanol and HCl affords ethyl ester hydrochloride (IV). Finally, this compound is cyclized with ethylenediamine (A) in ethanol at 70 C. 2) By condensation of sodium 2,6-dichlorophenolate (V) with 2-(alpha-chloroethyl)-2-imidazoline (VI) in refluxing dioxane.

参考文献No.701036
标题:Nouveau proc閐?de pr閜aration d'aryloxy-isoalcoyl-delta2-imidazolines et de leurs sels d'addition d'acide
作者:Baganz, H.; May, H.J.
来源:CH 529766; DE 1695555; FR 1555168; GB 1181356
合成路线图解说明:

Compound can be prepared in two different ways: 1) The condensation of 2,6-dichlorophenol (I) with alpha-bromopropionitrile (II) by means of K2CO3 in refluxing butanone gives alpha-(2,6-dichlorophenoxy)propionitrile (III), which by hydrolysis with ethanol and HCl affords ethyl ester hydrochloride (IV). Finally, this compound is cyclized with ethylenediamine (A) in ethanol at 70 C. 2) By condensation of sodium 2,6-dichlorophenolate (V) with 2-(alpha-chloroethyl)-2-imidazoline (VI) in refluxing dioxane.

参考文献No.701037
标题:Verfahren zur Herstellung von Aryloxyisoalkyl-delta2-imidazolinen und deren S鋟readditonssalzen
作者:Baganz, H.; May, H.J.
来源:AT 296285B; CH 539045; DE 1935479; ES 381547
合成路线图解说明:

Compound can be prepared in two different ways: 1) The condensation of 2,6-dichlorophenol (I) with alpha-bromopropionitrile (II) by means of K2CO3 in refluxing butanone gives alpha-(2,6-dichlorophenoxy)propionitrile (III), which by hydrolysis with ethanol and HCl affords ethyl ester hydrochloride (IV). Finally, this compound is cyclized with ethylenediamine (A) in ethanol at 70 C. 2) By condensation of sodium 2,6-dichlorophenolate (V) with 2-(alpha-chloroethyl)-2-imidazoline (VI) in refluxing dioxane.

Drug Information Express,Drug R&D,Chemical Database,Patent Search.
Copyright © 2006-2026 Drug Future. All rights reserved.Contact Us