【药物名称】CI-930
化学结构式(Chemical Structure):
参考文献No.46022
标题:Substituted 4,5-dihydro-6-(substituted)phenyl-3(2H)-pyridazinones and 6-(substituted)phenyl-3(2H)-pyridazinones
作者:Sircar, I.; Bristol, J.A. (Pfizer Inc.)
来源:CA 1190548; DD 208615; EP 0075436
合成路线图解说明:

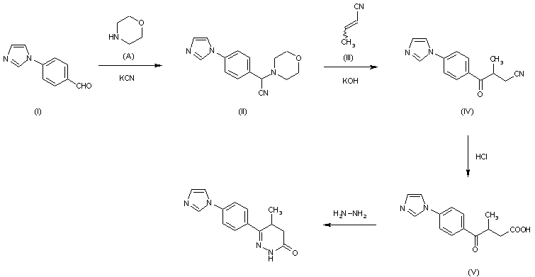
The reaction of 4-(1H-imidazol-1-yl)benzaldehyde (I) with morpholine (A) and KCN in dioxane water by means of p-toluenesulfonic acid gives [4-(1H-imidazol-1-yl)phenyl](4morpholinyl)acetonitrile (II), which is condensed with crotononitrile (III) by means of KOH in methanol yielding 4-[4-(1H-imidazol-1-yl)phenyl]-3-methyl-4-oxobutyronitrile (IV). The hydrolysis of (IV) with hot aqueous HCl affords 4-[4-(1H-imidazol-1-yl)phenyl]-3-methyl-4-oxobutanoic acid (V), which is finally cyclized with hydrazine in refluxing ethanol.

参考文献No.53671
标题:CI-930
作者:Casta馿r, J.; Serradell, M.N.
来源:Drugs Fut 1985,10(6),449
合成路线图解说明:

The reaction of 4-(1H-imidazol-1-yl)benzaldehyde (I) with morpholine (A) and KCN in dioxane water by means of p-toluenesulfonic acid gives [4-(1H-imidazol-1-yl)phenyl](4morpholinyl)acetonitrile (II), which is condensed with crotononitrile (III) by means of KOH in methanol yielding 4-[4-(1H-imidazol-1-yl)phenyl]-3-methyl-4-oxobutyronitrile (IV). The hydrolysis of (IV) with hot aqueous HCl affords 4-[4-(1H-imidazol-1-yl)phenyl]-3-methyl-4-oxobutanoic acid (V), which is finally cyclized with hydrazine in refluxing ethanol.

参考文献No.607704
标题:Cardiotonic agents. 1. 4,5-Dihydro-6-[4-(1H-imidazol-1-yl)phenyl]-3(2H)pyridazinones: Novel positive inotropic agents for the treatment of congestive heart failure
作者:Bristol, J.A.; Sircar, I.; Moos, W.H.; Evans, D.B.; Weishaar, R.E.
来源:J Med Chem 1984,27(9),1099
合成路线图解说明:

The reaction of 4-(1H-imidazol-1-yl)benzaldehyde (I) with morpholine (A) and KCN in dioxane water by means of p-toluenesulfonic acid gives [4-(1H-imidazol-1-yl)phenyl](4morpholinyl)acetonitrile (II), which is condensed with crotononitrile (III) by means of KOH in methanol yielding 4-[4-(1H-imidazol-1-yl)phenyl]-3-methyl-4-oxobutyronitrile (IV). The hydrolysis of (IV) with hot aqueous HCl affords 4-[4-(1H-imidazol-1-yl)phenyl]-3-methyl-4-oxobutanoic acid (V), which is finally cyclized with hydrazine in refluxing ethanol.

Drug Information Express,Drug R&D,Chemical Database,Patent Search.
Copyright © 2006-2026 Drug Future. All rights reserved.Contact Us