【药物名称】Enrofloxacin, Bay-Vp-2674, Enroxil, Baytril
化学结构式(Chemical Structure):
参考文献No.3390
标题:Immunostimulant agent
作者:Grohe, K.; Klimetzek, V.; Metzger, K.G.; St黱kel, K.G.; Zeiler, H.-J. (Bayer AG)
来源:AU 8542762; DE 3420116; EP 0165474; ES 8607020; JP 1985258163; US 4659603
合成路线图解说明:

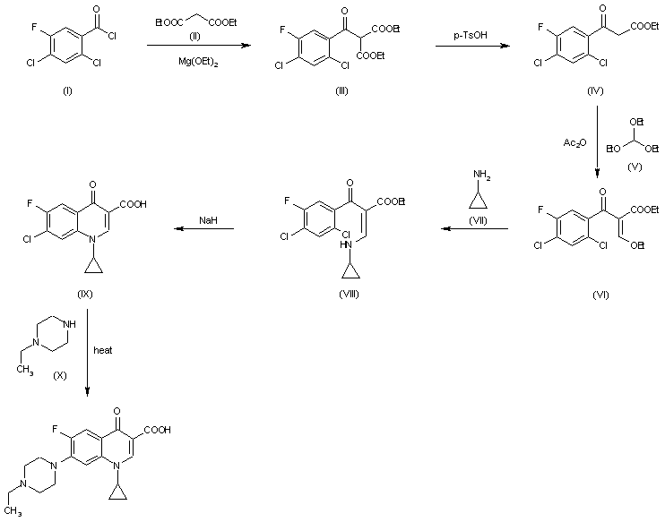
1) The condensation of 2,4-dichloro-5-fluoro-benzoyl chloride (I) with diethyl malonate (II) by means of magnesium ethoxide gives diethyl 2,4-dichloro-5-fluorobenzoylmalonate (III), which is partially decarboxylated with p-toluenesulfonic acid yielding ethyl 2,4-dichloro-5-fluorobenzoylacetate (IV). The condensation of (IV) with triethyl orthoformate (V) by means of refluxing acetic anhydride affords ethyl 2-(2,4-dichloro-5-fluorobenzoyl)-3-ethoxyacrylate (VI), which is treated with cyclopropylamine (VII) in ethanol giving ethyl 2-(2,4-dichloro-5-fluorobenzoyl)-3-(cyclopropylamino)acrylate (VII). The cyclization of (VII) by means of NaH in refluxing dioxane yields 1-cyclopropyl-7-chloro-6-fluoro-4-oxo-1,4-dihydroquinoline-3-carboxylic acid (IX), which is finally condensed with N-ethylpiperazine (X) by heating at 140 C in DMSO.

合成路线图解说明:

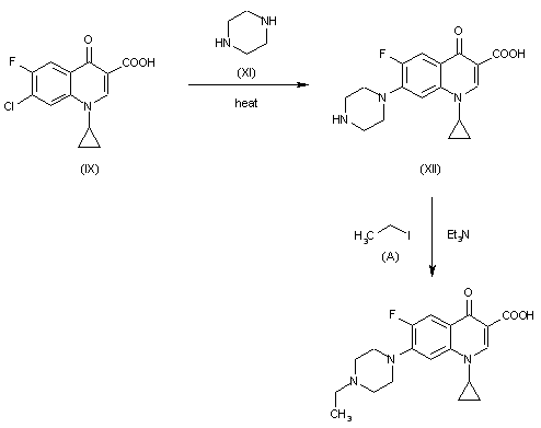
2) The condensation of quinoline (IX) with piperazine (XI) by heating at 140 C as before gives 1-cyclopropyl-6-fluoro-7-(1-piperazinyl)-4-oxo-1,4-dihydroquinoline-3-3-carboxylic acid (XII), which is finally treated with ethyl iodide and triethylamine in hot DMF.

合成路线图解说明:

3) The condensation of 2,4-dichloro-5-fluorobenzoyl chloride (I) with methyl 3-(cyclopropylamino)acrylate (XIII) gives methyl 2-(2,4-dichloro-5-fluoro-benzoyl)-3-(cyclopropylamino)acrylate (XIV), which is first cyclized with t-BuOK and then hydrolyzed to give compound (IX).

参考文献No.3392
标题:Antimicrobial agent of quinolone-carboxylic acid b
作者:Grohe, K.; Petersen, U.; Kuck, K.-H. (Bayer AG)
来源:DE 3248507; US 4563459
合成路线图解说明:

1) The condensation of 2,4-dichloro-5-fluoro-benzoyl chloride (I) with diethyl malonate (II) by means of magnesium ethoxide gives diethyl 2,4-dichloro-5-fluorobenzoylmalonate (III), which is partially decarboxylated with p-toluenesulfonic acid yielding ethyl 2,4-dichloro-5-fluorobenzoylacetate (IV). The condensation of (IV) with triethyl orthoformate (V) by means of refluxing acetic anhydride affords ethyl 2-(2,4-dichloro-5-fluorobenzoyl)-3-ethoxyacrylate (VI), which is treated with cyclopropylamine (VII) in ethanol giving ethyl 2-(2,4-dichloro-5-fluorobenzoyl)-3-(cyclopropylamino)acrylate (VII). The cyclization of (VII) by means of NaH in refluxing dioxane yields 1-cyclopropyl-7-chloro-6-fluoro-4-oxo-1,4-dihydroquinoline-3-carboxylic acid (IX), which is finally condensed with N-ethylpiperazine (X) by heating at 140 C in DMSO.

合成路线图解说明:

2) The condensation of quinoline (IX) with piperazine (XI) by heating at 140 C as before gives 1-cyclopropyl-6-fluoro-7-(1-piperazinyl)-4-oxo-1,4-dihydroquinoline-3-3-carboxylic acid (XII), which is finally treated with ethyl iodide and triethylamine in hot DMF.

合成路线图解说明:

3) The condensation of 2,4-dichloro-5-fluorobenzoyl chloride (I) with methyl 3-(cyclopropylamino)acrylate (XIII) gives methyl 2-(2,4-dichloro-5-fluoro-benzoyl)-3-(cyclopropylamino)acrylate (XIV), which is first cyclized with t-BuOK and then hydrolyzed to give compound (IX).

参考文献No.62402
标题:Enrofloxacin
作者:Casta馿r, J.; Prous, J.
来源:Drugs Fut 1988,13(4),305
合成路线图解说明:

1) The condensation of 2,4-dichloro-5-fluoro-benzoyl chloride (I) with diethyl malonate (II) by means of magnesium ethoxide gives diethyl 2,4-dichloro-5-fluorobenzoylmalonate (III), which is partially decarboxylated with p-toluenesulfonic acid yielding ethyl 2,4-dichloro-5-fluorobenzoylacetate (IV). The condensation of (IV) with triethyl orthoformate (V) by means of refluxing acetic anhydride affords ethyl 2-(2,4-dichloro-5-fluorobenzoyl)-3-ethoxyacrylate (VI), which is treated with cyclopropylamine (VII) in ethanol giving ethyl 2-(2,4-dichloro-5-fluorobenzoyl)-3-(cyclopropylamino)acrylate (VII). The cyclization of (VII) by means of NaH in refluxing dioxane yields 1-cyclopropyl-7-chloro-6-fluoro-4-oxo-1,4-dihydroquinoline-3-carboxylic acid (IX), which is finally condensed with N-ethylpiperazine (X) by heating at 140 C in DMSO.

合成路线图解说明:

2) The condensation of quinoline (IX) with piperazine (XI) by heating at 140 C as before gives 1-cyclopropyl-6-fluoro-7-(1-piperazinyl)-4-oxo-1,4-dihydroquinoline-3-3-carboxylic acid (XII), which is finally treated with ethyl iodide and triethylamine in hot DMF.

合成路线图解说明:

3) The condensation of 2,4-dichloro-5-fluorobenzoyl chloride (I) with methyl 3-(cyclopropylamino)acrylate (XIII) gives methyl 2-(2,4-dichloro-5-fluoro-benzoyl)-3-(cyclopropylamino)acrylate (XIV), which is first cyclized with t-BuOK and then hydrolyzed to give compound (IX).

Drug Information Express,Drug R&D,Chemical Database,Patent Search.
Copyright © 2006-2026 Drug Future. All rights reserved.Contact Us