【药物名称】Transdihydrolisuride, Terguride, SH-406, ZK-31224, VUFB-6638, Teluron, Mysalfon
化学结构式(Chemical Structure):
参考文献No.58277
标题:Process for the preparation of ergoline derivs.
作者:Sauer, G.; Haffer, G. (Schering AG)
来源:EP 0074921
合成路线图解说明:

The reaction of carboxamide (I) with lead tetraacetate and K2CO3 in DMF gives the corresponding isocyanate (II), which, without isolation is treated with diethylamine (III) to afford the target diethylurea.

合成路线图解说明:

Hofmann rearrangement of isolysergic acid amide (I) using lead tetraacetate produced isocyanate (II), which was further condensed with diethylamine to furnish urea (III). Hydrogenation of N-(D-6-methyl-8-isoergolenyl)-N',N'-diethylurea (III) in the presence of Raney nickel yielded a mixture of the desired isoergoline-I-yl urea along with minor amounts of its isoergoline-II-yl epimer (IV), which were separated by column chromatography. A more stereoselective hydrogenation of (III) was achieved under Birch reduction conditions using lithium amide/aniline to deprotonate the labile urea side chain. Similarly, isolysergic acid amide (I) underwent stereoselective Birch reduction to the 9,10-dihydro derivative (V), which was converted to the title compound via lead tetraacetate-promoted Hofmann rearrangement, followed by coupling with diethylamine.

参考文献No.58278
标题:N-(D-6-Methyl-8-isoergoline-1-yl)-N'N'-diethylurea
作者:Zik醤, V.; Semonsky, M.; Rez醔ek, K.; Seda, M.; Auskov? M. (SPOFA - United Pharmaceutical Works)
来源:US 3953454
合成路线图解说明:

Hofmann rearrangement of isolysergic acid amide (I) using lead tetraacetate produced isocyanate (II), which was further condensed with diethylamine to furnish urea (III). Hydrogenation of N-(D-6-methyl-8-isoergolenyl)-N',N'-diethylurea (III) in the presence of Raney nickel yielded a mixture of the desired isoergoline-I-yl urea along with minor amounts of its isoergoline-II-yl epimer (IV), which were separated by column chromatography. A more stereoselective hydrogenation of (III) was achieved under Birch reduction conditions using lithium amide/aniline to deprotonate the labile urea side chain. Similarly, isolysergic acid amide (I) underwent stereoselective Birch reduction to the 9,10-dihydro derivative (V), which was converted to the title compound via lead tetraacetate-promoted Hofmann rearrangement, followed by coupling with diethylamine.

合成路线图解说明:

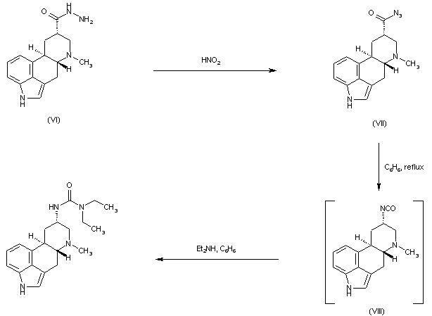
Alternatively, D-dihydrolysergic acid-I-hydrazide (VI) was treated with nitrous acid to produce the corresponding acyl azide (VII), which was further subjected to a Curtius rearrangement in refluxing benzene. Without isolation, the obtained isocyanate (VIII) solution was treated with diethylamine to afford the title urea derivative.

参考文献No.58279
标题:Process for preparing 8-alpha-substituted 6-methylergoline derivs.
作者:Sauer, G. (Schering AG)
来源:EP 0032684
合成路线图解说明:

Hofmann rearrangement of isolysergic acid amide (I) using lead tetraacetate produced isocyanate (II), which was further condensed with diethylamine to furnish urea (III). Hydrogenation of N-(D-6-methyl-8-isoergolenyl)-N',N'-diethylurea (III) in the presence of Raney nickel yielded a mixture of the desired isoergoline-I-yl urea along with minor amounts of its isoergoline-II-yl epimer (IV), which were separated by column chromatography. A more stereoselective hydrogenation of (III) was achieved under Birch reduction conditions using lithium amide/aniline to deprotonate the labile urea side chain. Similarly, isolysergic acid amide (I) underwent stereoselective Birch reduction to the 9,10-dihydro derivative (V), which was converted to the title compound via lead tetraacetate-promoted Hofmann rearrangement, followed by coupling with diethylamine.

参考文献No.702543
标题:Ergot alkaloids. XL. Some N-(D-6-methyl-8-isoergolin-I-yl)- and N-(D-6-methyl-8-isoergolin-II-yl)-N'-substituted ureas
作者:Zik醤, V.; et al.
来源:Coll Czech Chem Commun 1972,37(8),2600
合成路线图解说明:

Hofmann rearrangement of isolysergic acid amide (I) using lead tetraacetate produced isocyanate (II), which was further condensed with diethylamine to furnish urea (III). Hydrogenation of N-(D-6-methyl-8-isoergolenyl)-N',N'-diethylurea (III) in the presence of Raney nickel yielded a mixture of the desired isoergoline-I-yl urea along with minor amounts of its isoergoline-II-yl epimer (IV), which were separated by column chromatography. A more stereoselective hydrogenation of (III) was achieved under Birch reduction conditions using lithium amide/aniline to deprotonate the labile urea side chain. Similarly, isolysergic acid amide (I) underwent stereoselective Birch reduction to the 9,10-dihydro derivative (V), which was converted to the title compound via lead tetraacetate-promoted Hofmann rearrangement, followed by coupling with diethylamine.

合成路线图解说明:

Alternatively, D-dihydrolysergic acid-I-hydrazide (VI) was treated with nitrous acid to produce the corresponding acyl azide (VII), which was further subjected to a Curtius rearrangement in refluxing benzene. Without isolation, the obtained isocyanate (VIII) solution was treated with diethylamine to afford the title urea derivative.

参考文献No.702546
标题:Reduction of 8alpha-substituted 9,10-didehydroergolines
作者:Sauer, G.; et al.
来源:Synthesis (Stuttgart) 1986,(12),1007
合成路线图解说明:

Hofmann rearrangement of isolysergic acid amide (I) using lead tetraacetate produced isocyanate (II), which was further condensed with diethylamine to furnish urea (III). Hydrogenation of N-(D-6-methyl-8-isoergolenyl)-N',N'-diethylurea (III) in the presence of Raney nickel yielded a mixture of the desired isoergoline-I-yl urea along with minor amounts of its isoergoline-II-yl epimer (IV), which were separated by column chromatography. A more stereoselective hydrogenation of (III) was achieved under Birch reduction conditions using lithium amide/aniline to deprotonate the labile urea side chain. Similarly, isolysergic acid amide (I) underwent stereoselective Birch reduction to the 9,10-dihydro derivative (V), which was converted to the title compound via lead tetraacetate-promoted Hofmann rearrangement, followed by coupling with diethylamine.

Drug Information Express,Drug R&D,Chemical Database,Patent Search.
Copyright © 2006-2026 Drug Future. All rights reserved.Contact Us