【药物名称】Lomefloxacin hydrochloride, SC-47111, NY-198, Okacin, Okacyn, Logiflox, Maxaquine, Maxaquin, Lomebact, Bareon, Uniquin
化学结构式(Chemical Structure):
参考文献No.1666
标题:Piperazinylquinoline-3-carboxylic acid derivs.
作者:Itoh, Y.; Kato, H.; Koshinaka, E.; Ogawa, N.; Suzuki, T.; Yagi, N. (Hokuriku Seiyaku Co., Ltd.)
来源:EP 0140116; ES 8604565; ES 8609303; FR 2555584; JP 1985064979; JP 1985190777; JP 1986005075
合成路线图解说明:

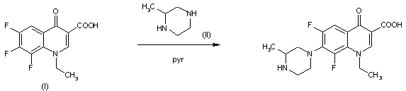
By condensation of 1-ethyl 6,7,8-trifluoro-1,4-dihydro-4-oxoquinoline-3-carboxylic acid (I) with 2-methylpiperazine (II) in refluxing pyridine.

参考文献No.53563
标题:NY-198
作者:Casta馿r, J.; Prous, J.
来源:Drugs Fut 1986,11(7),578
合成路线图解说明:

By condensation of 1-ethyl 6,7,8-trifluoro-1,4-dihydro-4-oxoquinoline-3-carboxylic acid (I) with 2-methylpiperazine (II) in refluxing pyridine.

Drug Information Express,Drug R&D,Chemical Database,Patent Search.
Copyright © 2006-2026 Drug Future. All rights reserved.Contact Us