【药物名称】Malotilate, DA-3857, NKK-105, Tractal, Kantec
化学结构式(Chemical Structure):
参考文献No.43193
标题:1,3-Dithiol-2-ylidene malonic esters
作者:Kurono, H.; Hirano, A.; Taninaka, K. (Nihon Nohyaku Co., Ltd.)
来源:DE 2545569; US 4035387
合成路线图解说明:

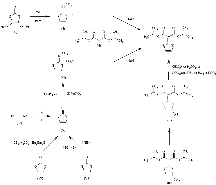
This compound can be obtained by several related ways: 1) The reaction of 2-thioxo-1,3-dithiole-4,5-dicarboxylic acid (I) with methyl iodide in refluxing nitromethane gives 2-(methylsulfanyl)-1,3-dithiolium iodide (II), which is finally condensed with diisopropyl malonate (III), by means of NaH in refluxing THF. 2) The cyclization of sodium acetylide (IV) with sulfur and carbon disulfide gives 1,3-dithiole-2-thione (V), which is treated first with dimethyl sulfate and then with sodium perchlorate yielding 2-(methylsulfanyl)-1,3-dithiolium perchlorate (V). Finally, this compound is condensed with diisopropyl malonate (III) by means of NaH as before. 3) 1,3-Dithiole-2-thione (V) can also be obtained by cyclization of ethylene carbonate (VII) with carbon disulfide by means of K2CO3 and hexabutyldistannathiane. 4) 1,3-Dithiole-2-thione (V) can also be obtained by cyclization of ethylene trithiocarbonate (VIII) with acetylene at 110-45 C, although with low yields. 5) The selective hydrolysis of 2-(4-acetoxy-1,3-dithiol-2-ylidene)malonic acid diisopropyl ester (IX) gives the corresponding 4-hydroxy derivative (X), which is finally dehydrated with either, chlorosulfonic acid or sulfuric acid or thionyl chloride and DBU or phosphorous trichloride or phosphorous oxychloride.

参考文献No.46252
标题:Process for producing 1,3-dithiol-2-ylidene malonates
作者:Matsui, H.; Tanaka, H.; Yabutani, K.; Kurono, H. (Nihon Nohyaku Co., Ltd.)
来源:US 4327223
合成路线图解说明:

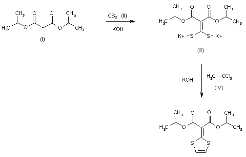
A new method for the synthesis of malotilate has been reported: The reaction of diisopropylmalonate (I) with carbon disulfide (II) by means of KOH in DMSO gives the dipotassium salt of diisopropyl dithiolylidene-malonate (III), which is then cyclized with 1,1,1-trichloroethane (IV) by means of KOH in the same solvent as before.

参考文献No.569994
标题:The preparation of cyclic dithia and thiaza compounds by the reaction of potassium carbonate with heterocumulenes and alkylene dibromides or carbonate catalyzed by organostannyl compounds
作者:Fujinami, T.; et al.
来源:Bull Chem Soc Jpn 1982,55(4),1174
合成路线图解说明:

This compound can be obtained by several related ways: 1) The reaction of 2-thioxo-1,3-dithiole-4,5-dicarboxylic acid (I) with methyl iodide in refluxing nitromethane gives 2-(methylsulfanyl)-1,3-dithiolium iodide (II), which is finally condensed with diisopropyl malonate (III), by means of NaH in refluxing THF. 2) The cyclization of sodium acetylide (IV) with sulfur and carbon disulfide gives 1,3-dithiole-2-thione (V), which is treated first with dimethyl sulfate and then with sodium perchlorate yielding 2-(methylsulfanyl)-1,3-dithiolium perchlorate (V). Finally, this compound is condensed with diisopropyl malonate (III) by means of NaH as before. 3) 1,3-Dithiole-2-thione (V) can also be obtained by cyclization of ethylene carbonate (VII) with carbon disulfide by means of K2CO3 and hexabutyldistannathiane. 4) 1,3-Dithiole-2-thione (V) can also be obtained by cyclization of ethylene trithiocarbonate (VIII) with acetylene at 110-45 C, although with low yields. 5) The selective hydrolysis of 2-(4-acetoxy-1,3-dithiol-2-ylidene)malonic acid diisopropyl ester (IX) gives the corresponding 4-hydroxy derivative (X), which is finally dehydrated with either, chlorosulfonic acid or sulfuric acid or thionyl chloride and DBU or phosphorous trichloride or phosphorous oxychloride.

参考文献No.569995
标题:Reactions of ethylene di- and trithiocarbonates with acetylenes. Anomalous reaction with bromocyanoacetylene to give a thioacyl bromide
作者:Jones, F.N.; O'Connor, B.R.
来源:J Org Chem 1970,35(6),2002
合成路线图解说明:

This compound can be obtained by several related ways: 1) The reaction of 2-thioxo-1,3-dithiole-4,5-dicarboxylic acid (I) with methyl iodide in refluxing nitromethane gives 2-(methylsulfanyl)-1,3-dithiolium iodide (II), which is finally condensed with diisopropyl malonate (III), by means of NaH in refluxing THF. 2) The cyclization of sodium acetylide (IV) with sulfur and carbon disulfide gives 1,3-dithiole-2-thione (V), which is treated first with dimethyl sulfate and then with sodium perchlorate yielding 2-(methylsulfanyl)-1,3-dithiolium perchlorate (V). Finally, this compound is condensed with diisopropyl malonate (III) by means of NaH as before. 3) 1,3-Dithiole-2-thione (V) can also be obtained by cyclization of ethylene carbonate (VII) with carbon disulfide by means of K2CO3 and hexabutyldistannathiane. 4) 1,3-Dithiole-2-thione (V) can also be obtained by cyclization of ethylene trithiocarbonate (VIII) with acetylene at 110-45 C, although with low yields. 5) The selective hydrolysis of 2-(4-acetoxy-1,3-dithiol-2-ylidene)malonic acid diisopropyl ester (IX) gives the corresponding 4-hydroxy derivative (X), which is finally dehydrated with either, chlorosulfonic acid or sulfuric acid or thionyl chloride and DBU or phosphorous trichloride or phosphorous oxychloride.

参考文献No.576869
标题:Synthesis of 1,3-dithiol-2-thiones (' Isotrithione')
作者:Mayer, R.; et al.
来源:Angew Chem. Int Ed Engl 1964,76(3),143
合成路线图解说明:

This compound can be obtained by several related ways: 1) The reaction of 2-thioxo-1,3-dithiole-4,5-dicarboxylic acid (I) with methyl iodide in refluxing nitromethane gives 2-(methylsulfanyl)-1,3-dithiolium iodide (II), which is finally condensed with diisopropyl malonate (III), by means of NaH in refluxing THF. 2) The cyclization of sodium acetylide (IV) with sulfur and carbon disulfide gives 1,3-dithiole-2-thione (V), which is treated first with dimethyl sulfate and then with sodium perchlorate yielding 2-(methylsulfanyl)-1,3-dithiolium perchlorate (V). Finally, this compound is condensed with diisopropyl malonate (III) by means of NaH as before. 3) 1,3-Dithiole-2-thione (V) can also be obtained by cyclization of ethylene carbonate (VII) with carbon disulfide by means of K2CO3 and hexabutyldistannathiane. 4) 1,3-Dithiole-2-thione (V) can also be obtained by cyclization of ethylene trithiocarbonate (VIII) with acetylene at 110-45 C, although with low yields. 5) The selective hydrolysis of 2-(4-acetoxy-1,3-dithiol-2-ylidene)malonic acid diisopropyl ester (IX) gives the corresponding 4-hydroxy derivative (X), which is finally dehydrated with either, chlorosulfonic acid or sulfuric acid or thionyl chloride and DBU or phosphorous trichloride or phosphorous oxychloride.

Drug Information Express,Drug R&D,Chemical Database,Patent Search.
Copyright © 2006-2026 Drug Future. All rights reserved.Contact Us