【药物名称】Cilastatin sodium, Cilastatino, MK-791, L-642957
化学结构式(Chemical Structure):
参考文献No.46050
标题:2-(Cyclopropanecarboxamido)-alkenoic acids, their esters and salts, and antibacterial compositions comprising the same a thiennamycin-type compound
作者:Graham, D.W.; Rogers, E.F.; Kahan, F.M. (Merck & Co., Inc.)
来源:EP 0048301
合成路线图解说明:

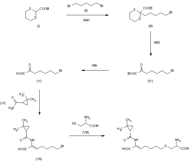
The alkylation of ethyl 1,3-dithiane-2-carboxylate (I) with 1,5-dibromopentane (II) by means of NaH in DMF gives ethyl 2-(5-bromopentyl)-1,3-dithiane-2-carboxylate (III), which is treated with NBS in acetonitrile water to open the dithiane ring yielding ethyl 7-bromo-2-oxoheptanoate (IV). Hydrolysis of the ester group of (IV) with 50% HBr affords 7-bromo-2-oxoheptanoic acid (V), which is condensed with 2,2-dimethylcyclopropanecarboxamide (VI) in refluxing toluene giving 7-bromo-2-(2,2-dimethycyclopropanecarboxamido)-2-octenoic acid (VII). Finally, this compound is condensed with L-cysteine (VIII) by means of NaOH in water.

参考文献No.53541
标题:Cilastatin
作者:Casta馿r, J.; Serradell, M.N.
来源:Drugs Fut 1984,9(5),320
合成路线图解说明:

The alkylation of ethyl 1,3-dithiane-2-carboxylate (I) with 1,5-dibromopentane (II) by means of NaH in DMF gives ethyl 2-(5-bromopentyl)-1,3-dithiane-2-carboxylate (III), which is treated with NBS in acetonitrile water to open the dithiane ring yielding ethyl 7-bromo-2-oxoheptanoate (IV). Hydrolysis of the ester group of (IV) with 50% HBr affords 7-bromo-2-oxoheptanoic acid (V), which is condensed with 2,2-dimethylcyclopropanecarboxamide (VI) in refluxing toluene giving 7-bromo-2-(2,2-dimethycyclopropanecarboxamido)-2-octenoic acid (VII). Finally, this compound is condensed with L-cysteine (VIII) by means of NaOH in water.

参考文献No.60907
标题:Process for the preparation of cilastatin
作者:Tyagi, O.D.; Kumar, Y.; Srivastava, T.K. (Ranbaxy Laboratories Ltd.)
来源:WO 03018544
合成路线图解说明:

The condensation of 7-chloro-2-oxoheptanoic acid ethyl ester (I) with (S)-2,2-dimethylcyclopropanecarboxamide (II) by means of TsOH in refluxing toluene gives (S)-7-chloro-2-(2,2-dimethylcyclopropanecarboxamido)-2-heptenoic acid ethyl ester (III), which is hydrolyzed in aq. NaOH to yield the corresponding carboxylic acid (IV). Finally, this compound is condensed with (R)-cysteine (V) by means of NaOH in water to afford the target Cilastatino.

Drug Information Express,Drug R&D,Chemical Database,Patent Search.
Copyright © 2006-2026 Drug Future. All rights reserved.Contact Us