【药物名称】Bopindolol, LT-31200, Wandonorm, Sandonorm
化学结构式(Chemical Structure):
参考文献No.46778
标题:Use of 4-(2-benzoyloxy-3-tert-butylaminopropoxy)-2-methyl-indole for inducing beta-adrenoceptor blocade
作者:Troxler, F.; Seemann, F. (Novartis AG)
来源:BE 0845197; DE 2635209; FR 2320743; GB 1575509; JP 56049318; US 4434176
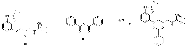
合成路线图解说明:

By esterification of 1-tert-butylamino-3-[(2-methylindol-4-yl)oxy]-2-propanol (I) with benzoic anhydride (II) in HMTP.

参考文献No.53521
标题:Bopindolol
作者:Blancafort, P.; Casta馿r, J.; de Angelis, L.; Serradell, M.N.
来源:Drugs Fut 1982,7(10),722
合成路线图解说明:

By esterification of 1-tert-butylamino-3-[(2-methylindol-4-yl)oxy]-2-propanol (I) with benzoic anhydride (II) in HMTP.

Drug Information Express,Drug R&D,Chemical Database,Patent Search.
Copyright © 2006-2026 Drug Future. All rights reserved.Contact Us