【药物名称】Trimazosin hydrochloride, CP-191061, Supres, Cardovar
化学结构式(Chemical Structure):
参考文献No.53520
标题:Trimazosin hydrochloride
作者:Casta馿r, J.; Weetman, D.F.
来源:Drugs Fut 1978,3(4),325
合成路线图解说明:

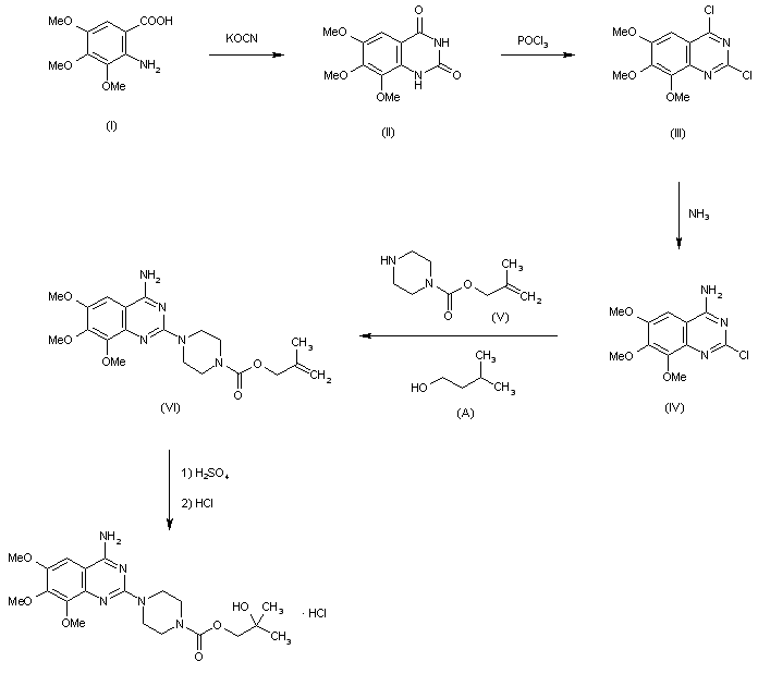
The cyclization of 2-amino-3,4,5-trimethoxybenzoic acid (I) with potassium cyanate in water-acetic acid gives 6,7,8-trimethoxy-2,4-(1H,3H)-quinazolinedione (II), which by refluxing with POCl3 is converted into 6,7,8-trimethoxy-2,4-dichloroquinazoline (III). The reaction of (III) with anhydrous NH3 in THF yields 2-chloro-4-amino-6,7,8-trimethoxyquinazoline (IV), which is then condensed with 2-methylallyl-1-piperazinecarboxylate (V) in refluxing isoamyl alcohol (A) to afford 2-methylallyl-4-(4-amino-6,7,8-trimethoxyquinazolin-2-yl)piperazine-1-carboxylate (VI). Finally, the allyl group of (VI) is hydrated by treating with aqueous sulfuric acid, and converted into the hydrochloride by treatment with ethanolic HCl.

参考文献No.701022
标题:Trialkyloxy quinazolines
作者:Hess, H.J.
来源:DE 2120495; DE 2167157; FR 2092154; GB 1309835; JP 52068191; US 3669968
合成路线图解说明:

The cyclization of 2-amino-3,4,5-trimethoxybenzoic acid (I) with potassium cyanate in water-acetic acid gives 6,7,8-trimethoxy-2,4-(1H,3H)-quinazolinedione (II), which by refluxing with POCl3 is converted into 6,7,8-trimethoxy-2,4-dichloroquinazoline (III). The reaction of (III) with anhydrous NH3 in THF yields 2-chloro-4-amino-6,7,8-trimethoxyquinazoline (IV), which is then condensed with 2-methylallyl-1-piperazinecarboxylate (V) in refluxing isoamyl alcohol (A) to afford 2-methylallyl-4-(4-amino-6,7,8-trimethoxyquinazolin-2-yl)piperazine-1-carboxylate (VI). Finally, the allyl group of (VI) is hydrated by treating with aqueous sulfuric acid, and converted into the hydrochloride by treatment with ethanolic HCl.

Drug Information Express,Drug R&D,Chemical Database,Patent Search.
Copyright © 2006-2026 Drug Future. All rights reserved.Contact Us