【药物名称】Sulconazole nitrate, RS-44872, Exelderm
化学结构式(Chemical Structure):
参考文献No.53511
标题:Sulconazole
作者:Arya, V.P.
来源:Drugs Fut 1980,5(4),206
合成路线图解说明:

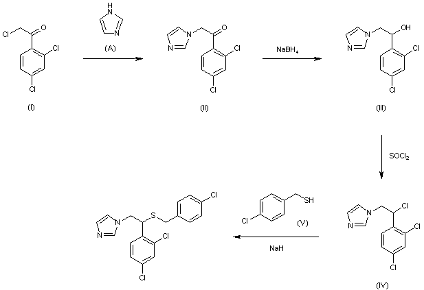
The reaction of 2,4-dichlorophenacyl chloride (I) with imidazole (A) gives the ketone (II), which is reduced with sodium borohydride to yield the alcohol (III). Conversion of the alcohol (III) to the chloro derivative (IV) with thionylchloride followed by reaction with p-chlorobenzyl mercaptan (V) affords sulconazole.

参考文献No.700899
标题:Manufacture of novel imidazole derivative
作者:Keisu, E.E. U.
来源:AT 347449B; BE 0833614; JP 59089667; ZA 7505100
合成路线图解说明:

The reaction of 2,4-dichlorophenacyl chloride (I) with imidazole (A) gives the ketone (II), which is reduced with sodium borohydride to yield the alcohol (III). Conversion of the alcohol (III) to the chloro derivative (IV) with thionylchloride followed by reaction with p-chlorobenzyl mercaptan (V) affords sulconazole.

Drug Information Express,Drug R&D,Chemical Database,Patent Search.
Copyright © 2006-2026 Drug Future. All rights reserved.Contact Us