【药物名称】Ketanserin, R-41468, Perketal, Taseron, Serefrex, Sufrexal
化学结构式(Chemical Structure):
参考文献No.794
标题:Piperidinylalkyl quinazoline compounds, composition and method of use
作者:Van Der, M.; Keninis, L.; Vandenberk, J.; Van Heertum, A. (Janssen Pharmaceutica NV)
来源:EP 0013612; JP 55105679; US 4335127
合成路线图解说明:

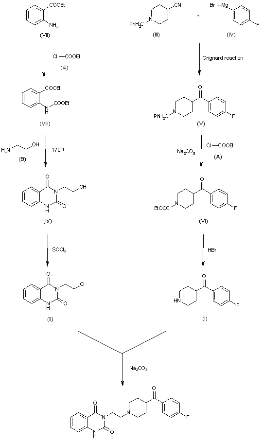
By reaction of 4-(p-fluorobenzoyl)piperidine (I) with 3-(2-chloroethyl)-2,4-(1H,3H)-quinazolinedione (II) by means of Na2CO3 in refluxing 4-methyl-2-pentanone. The starting compounds are prepared as follows: 1) The Grignard reaction of N-benzyl-4-cyanopiperidine (III) with p-fluorophenylmagnesium bromide (IV) ethyl ether gives N-benzyl-4-p-fluorobenzoyl)piperidine (V), which by reaction with Na2CO3 and ethyl chloroformate (A) is converted into N-ethoxycarbonyl-4-(p-fluorobenzoyl)piperidine (VI). Finally, this compound is hydrolyzed with 48% HBr to give (I). 2) The reaction of ethyl anthranilate (VII) with ethyl chloroformate (A) in refluxing xylene gives ethyl 2-(ethoxycarbonylamino)benzoate (VIII), which is cyclized with 2-aminoethanol (B) at 170 C to afford 3-(2-hydroxyethyl)-2,4-(1H,3H)-quinazolinedione (IX). Finally, this compound is treated with SOCl2 in refluxing chloroform to afford (II).

参考文献No.46047
标题:Process for preparing ketanserine
作者:Signorini, R.; Verga, A. (Ravizza SpA)
来源:EP 0098499; IT 1155357
合成路线图解说明:

By condensation of 2,3-dihydro-5H-oxazole[2,3-b]quinazolin-5-one (I) with 4-(4-fluorobenzoyl)piperidine (II) in refuxing toluene.

参考文献No.53502
标题:Ketanserin
作者:Blancafort, P.; Paton, D.M.; Serradell, M.N.; Casta馿r, J.
来源:Drugs Fut 1981,6(11),684
合成路线图解说明:

By reaction of 4-(p-fluorobenzoyl)piperidine (I) with 3-(2-chloroethyl)-2,4-(1H,3H)-quinazolinedione (II) by means of Na2CO3 in refluxing 4-methyl-2-pentanone. The starting compounds are prepared as follows: 1) The Grignard reaction of N-benzyl-4-cyanopiperidine (III) with p-fluorophenylmagnesium bromide (IV) ethyl ether gives N-benzyl-4-p-fluorobenzoyl)piperidine (V), which by reaction with Na2CO3 and ethyl chloroformate (A) is converted into N-ethoxycarbonyl-4-(p-fluorobenzoyl)piperidine (VI). Finally, this compound is hydrolyzed with 48% HBr to give (I). 2) The reaction of ethyl anthranilate (VII) with ethyl chloroformate (A) in refluxing xylene gives ethyl 2-(ethoxycarbonylamino)benzoate (VIII), which is cyclized with 2-aminoethanol (B) at 170 C to afford 3-(2-hydroxyethyl)-2,4-(1H,3H)-quinazolinedione (IX). Finally, this compound is treated with SOCl2 in refluxing chloroform to afford (II).

参考文献No.77272
标题:Synthesis of 3H- and 14C-ketanserin
作者:Janssen, C.G.M.; Lenoir, H.A.C.; Thijssen, J.B.A.; Knaeps, A.G.; Verluyten, W.L.M.; Heykants, J.J.P.
来源:J Label Compd Radiopharm 1988,25(7),783-92
合成路线图解说明:

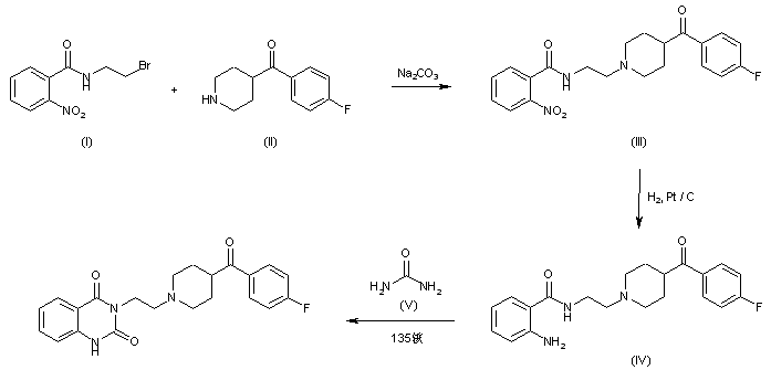
The condensation of N-(2-bromoethyl)-2-nitrobenzamide (I) with 4-(4-fluorobenzoyl)piperidine (II) by means of Na2CO3 in refluxing methyl isobutyl ketone gives N-[2-[4-(4-fluorobenzoyl)-2-piperidinyl]ethyl]-2-nitrobenzamide (III), which is reduced with H2 over Pt/C in methanol yielding the corresponding amino derivative (IV). Finally, this compound is cyclized with urea (V) in refluxing xylene.

Drug Information Express,Drug R&D,Chemical Database,Patent Search.
Copyright © 2006-2026 Drug Future. All rights reserved.Contact Us