【药物名称】Ofloxacin, Hoe-280, DL-8280, Exocin, Exocine, Ocuflox, Floxin, Tarivid
化学结构式(Chemical Structure):
参考文献No.24567
标题:Benzoxazine derivs.
作者:Hayakawa, I.; Hiramitsu, T.; Tanaka, Y. (Daiichi Pharmaceutical Co., Ltd.)
来源:EP 0047005; US 4382892
合成路线图解说明:

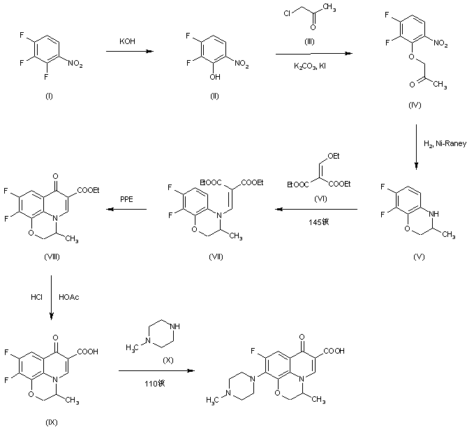
The partial hydrolysis ot 2,3,4-trifluoronitrobenzene (I) with KOH in DMSO gives 2,3-difluoro-6-nitrophenol (II), which by condensation with chloroacetone (III) by means of K2CO3 - KI in refluxing acetone yields 2-acetonyloxy-3,4-difluoronitrobenzene (IV). The reductive cyclization of (IV) with H2 over Raney-Ni in ethanol affords 7,8-difluoro-2,3-dihydro-3-methyl-4H-benzoxazine (V), which is condensed with diethyl ethoxymethylenemalonate (VI) by heating at 145 C giving the malonic derivative (VII). The cyclization of (VII) by heating at 145 C with ethyl polyphosphate (PPE) yields ethyl 9,10-difluoro-3-methyl-7-oxo-2,3-dihydro-7H-pyrido[1,2,3-de]-1,4-benzoxazine-6-carboxylate (VIII), which is hydrolyzed with HCl in refluxing acetic acid affording the corresponding free acid (IX). Finally, this compound is condensed with N-methylpiperazine (X) in DMSO at 110 C.

参考文献No.53489
标题:DL-8280
作者:Serradell, M.N.; Blancafort, P.; Casta馿r, J.
来源:Drugs Fut 1983,8(5),395
合成路线图解说明:

The partial hydrolysis ot 2,3,4-trifluoronitrobenzene (I) with KOH in DMSO gives 2,3-difluoro-6-nitrophenol (II), which by condensation with chloroacetone (III) by means of K2CO3 - KI in refluxing acetone yields 2-acetonyloxy-3,4-difluoronitrobenzene (IV). The reductive cyclization of (IV) with H2 over Raney-Ni in ethanol affords 7,8-difluoro-2,3-dihydro-3-methyl-4H-benzoxazine (V), which is condensed with diethyl ethoxymethylenemalonate (VI) by heating at 145 C giving the malonic derivative (VII). The cyclization of (VII) by heating at 145 C with ethyl polyphosphate (PPE) yields ethyl 9,10-difluoro-3-methyl-7-oxo-2,3-dihydro-7H-pyrido[1,2,3-de]-1,4-benzoxazine-6-carboxylate (VIII), which is hydrolyzed with HCl in refluxing acetic acid affording the corresponding free acid (IX). Finally, this compound is condensed with N-methylpiperazine (X) in DMSO at 110 C.

Drug Information Express,Drug R&D,Chemical Database,Patent Search.
Copyright © 2006-2026 Drug Future. All rights reserved.Contact Us