【药物名称】Amperozide, FG-5606, Hogpax vet.
化学结构式(Chemical Structure):
参考文献No.53486
标题:Selective melanin concentrating hormone-1 (MCH1) receptor antagonists and uses thereof
作者:Gluchowski, C.; Chiu, G.; Marzabadi, M.R.; Nagarathnam, D.; Lagu, B.; Noble, S.; Wetzel, J.; Deleon, J.E. (Synaptic Pharmaceutical Corp.)
来源:EP 1299362; WO 0206245
合成路线图解说明:

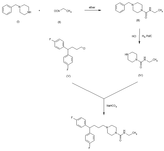
The condensation of N-benzylpiperazine (I) with ethyl isocyanate (II) in refluxing ether gives N-ethyl-4-benzyl-1-piperazinecarboxamide (III), which is debenzylated by hydrogenolysis with H2 over Pd/C in ethanol - HCl yielding N'-ethyl-1-piperazinecarboxarnide (IV). Finally, this compound is condensed with 1,1-bis(4-fluorophenyl)-4-chlorobutane (V) by means of NaHCO3 in refluxing ethanol.

合成路线图解说明:

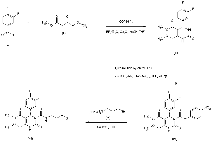
3,4-Difluorobenzaldehyde (I) is condensed with methyl 4-methoxyacetoacetate (II) and urea in the presence of boron trifluoride etherate and copper (I) oxide to produce the dihydropyrimidinone adduct (III). After isolation of the desired enantiomer by means of chiral HPLC, reaction with p-nitrophenyl chloroformate leads to the nitrophenyl carbamate (IV). Then, condensation of (IV) with 3 bromoproylamine (V) furnishes the N-bromopropyl urea derivative (VI).

合成路线图解说明:

N-Boc-4-Piperidone (VII) is converted into the enol triflate (VIII) upon treatment with N-phenyl trifluoromethanesulfonimide and LDA. Subsequent Suzuki coupling of (VIII) with 3-acetamidophenylboronic acid (IX) yields the 4-aryl tetrahydropyridine (X). Removal of the N-Boc group of (X) under acidic conditions furnishes the deprotected tetrahydropyridine (XI). Optionally, catalytic hydrogenation of (X) gives rise to piperidine (XII), which is then deprotected by acidic treatment to produce (XIII).

合成路线图解说明:

Condensation of piperidine (XIII) with the N-bromopropyl derivative (VI) gives rise to the title compound. Alternatively, the title compound can be prepared by condensation of bromide (VI) with tetrahydropyridine (XI) to produce adduct (XIV), which is then hydrogenated over Pd/C.

参考文献No.701306
标题:
作者:Bjoerk, A.K.K.; Olsson, K.G.; Abramo, A.L.; Christensson, E.G.
来源:DE 2941880
合成路线图解说明:

The condensation of N-benzylpiperazine (I) with ethyl isocyanate (II) in refluxing ether gives N-ethyl-4-benzyl-1-piperazinecarboxamide (III), which is debenzylated by hydrogenolysis with H2 over Pd/C in ethanol - HCl yielding N'-ethyl-1-piperazinecarboxarnide (IV). Finally, this compound is condensed with 1,1-bis(4-fluorophenyl)-4-chlorobutane (V) by means of NaHCO3 in refluxing ethanol.

Drug Information Express,Drug R&D,Chemical Database,Patent Search.
Copyright © 2006-2026 Drug Future. All rights reserved.Contact Us