【药物名称】Bunazosin hydrochloride, E-1015(retard), E-643, Andante, Detantol
化学结构式(Chemical Structure):
参考文献No.53485
标题:E-643
作者:Casta馿r, J.; Weetman, D.F.
来源:Drugs Fut 1978,3(8),582
合成路线图解说明:

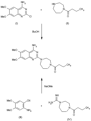
Compound can be prepared in two different ways: 1) By condensation of 2-chloro-4-amino-5,7-dimethoxyquinazoline (I) with 1-(n-butyryl)homopiperazine (II) in refluxing butanol. 2) By cyclization of 2-amino-4,5-dimethoxybenzonitrile (III) with 4-(n-butyryl)homopiperazin-1-formamidine (IV), by means of sodium methoxide in refluxing dimethylsulfoxide.

参考文献No.701048
标题:
作者:Takahashi, T.; Sugimoto, H.
来源:JP 7682285
合成路线图解说明:

Compound can be prepared in two different ways: 1) By condensation of 2-chloro-4-amino-5,7-dimethoxyquinazoline (I) with 1-(n-butyryl)homopiperazine (II) in refluxing butanol. 2) By cyclization of 2-amino-4,5-dimethoxybenzonitrile (III) with 4-(n-butyryl)homopiperazin-1-formamidine (IV), by means of sodium methoxide in refluxing dimethylsulfoxide.

参考文献No.701049
标题:
作者:Takahashi, T.; Sugimoto, H.
来源:JP 75140474
合成路线图解说明:

Compound can be prepared in two different ways: 1) By condensation of 2-chloro-4-amino-5,7-dimethoxyquinazoline (I) with 1-(n-butyryl)homopiperazine (II) in refluxing butanol. 2) By cyclization of 2-amino-4,5-dimethoxybenzonitrile (III) with 4-(n-butyryl)homopiperazin-1-formamidine (IV), by means of sodium methoxide in refluxing dimethylsulfoxide.

Drug Information Express,Drug R&D,Chemical Database,Patent Search.
Copyright © 2006-2026 Drug Future. All rights reserved.Contact Us