【药物名称】Camostat mesilate, Camostat mesylate, FOY-305, Foipan
化学结构式(Chemical Structure):
参考文献No.46056
标题:Guanidinobenzoic acid derivatives
作者:Fujii, S.; Uegai, Y.; Watanabe, T.; Kayama, N. (Ono Pharmaceutical Co., Ltd.)
来源:DE 2548886; FR 2289181; GB 1472700; JP 76054530; US 4021472
合成路线图解说明:

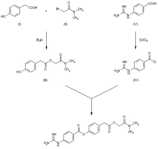
The reaction of p-hydrophenylacetic acid (I) with N,N-dimethylbromoacetamide (II) by means of triethylamine in reftuxing acetonitrile gives N,N-dimethylcarbamoylmethyl-p-hydroxyphenylacetate (III), which is then condensed with p-guanidinobenzoyl chloride (IV) [obtained from the corresponding acid p-guanidinobenzoic acid (V) and thionyl chloride] in pyridine.

参考文献No.46724
标题:Guanidinobenzoic acid derivatives and antiplasmin agents and remedies for pancreas diseases containing the said guanidinobensolc acid derivatives
作者:Fujii, S.; et al. (Ono Pharmaceutical Co., Ltd.)
来源:JP 52089640
合成路线图解说明:

The reaction of p-hydrophenylacetic acid (I) with N,N-dimethylbromoacetamide (II) by means of triethylamine in reftuxing acetonitrile gives N,N-dimethylcarbamoylmethyl-p-hydroxyphenylacetate (III), which is then condensed with p-guanidinobenzoyl chloride (IV) [obtained from the corresponding acid p-guanidinobenzoic acid (V) and thionyl chloride] in pyridine.

参考文献No.46725
标题:Preparation of guanidinobenzoic acid derivatives
作者:Fujii, S.; et al. (Ono Pharmaceutical Co., Ltd.)
来源:JP 54052052
合成路线图解说明:

By reaction of N,N-dimethylcarbamoylmethyl-p-(p-aminobenzoyloxy)phenylacetate (VI) with cyanamide (VII).

参考文献No.53481
标题:Camostat Mesylate
作者:Casta馿r, J.; Serradell, M.N.; Hashimoto, K.
来源:Drugs Fut 1985,10(11),897
合成路线图解说明:

The reaction of p-hydrophenylacetic acid (I) with N,N-dimethylbromoacetamide (II) by means of triethylamine in reftuxing acetonitrile gives N,N-dimethylcarbamoylmethyl-p-hydroxyphenylacetate (III), which is then condensed with p-guanidinobenzoyl chloride (IV) [obtained from the corresponding acid p-guanidinobenzoic acid (V) and thionyl chloride] in pyridine.

合成路线图解说明:

By reaction of N,N-dimethylcarbamoylmethyl-p-(p-aminobenzoyloxy)phenylacetate (VI) with cyanamide (VII).

Drug Information Express,Drug R&D,Chemical Database,Patent Search.
Copyright © 2006-2026 Drug Future. All rights reserved.Contact Us