【药物名称】Tiquizium bromide, HSR-902, Thiaton
化学结构式(Chemical Structure):
参考文献No.47158
标题:Substituted quinolizidine and indolizidine derivatives and the preparation thereof
作者:Kato, H.; Koshinaka, E.; Ogawa, N.; Kurata, S.; Yamagishi, K.; Ishikuza, M. (Hokuriku Seiyaku Co., Ltd.)
来源:BE 0866988; DE 2820687; FR 2390956; GB 1602927; JP 8034148
合成路线图解说明:

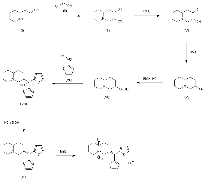
The reaction of 2-piperidineethanol (I) with acrylonitrile (II) gives N-(2-cyanoethyl)piperidine-2-ethanol (III), which by treatment with SOCl2 is converted into the chloronitrile (IV). The cyclization of (IV) with NaH affords 3-cyanoquinolizidine (V), which by hydrolysis with ethanol and HCl yields ethyl quinolizidine-3-carboxylate (VI). The Grignard reaction of (VI) with 2-thienylmagnesium bromide gives thienyl-3-quinolizidinyl methanol (VIII), which is dehydrated with HCl ethanol to afford 3-(di-2-thienylmethylene)quinolizidine (IX). Finally, this compound is quaternirzed with methyl bromide in acetone.

参考文献No.53454
标题:Tiquizium bromide
作者:Blancafort, P.; Serradell, M.N.; Casta馿r, J.; Thorpe, P.J.
来源:Drugs Fut 1982,7(9),655
合成路线图解说明:

The reaction of 2-piperidineethanol (I) with acrylonitrile (II) gives N-(2-cyanoethyl)piperidine-2-ethanol (III), which by treatment with SOCl2 is converted into the chloronitrile (IV). The cyclization of (IV) with NaH affords 3-cyanoquinolizidine (V), which by hydrolysis with ethanol and HCl yields ethyl quinolizidine-3-carboxylate (VI). The Grignard reaction of (VI) with 2-thienylmagnesium bromide gives thienyl-3-quinolizidinyl methanol (VIII), which is dehydrated with HCl ethanol to afford 3-(di-2-thienylmethylene)quinolizidine (IX). Finally, this compound is quaternirzed with methyl bromide in acetone.

参考文献No.800196
标题:Studies on antispasmodics. I. Synthesis and anticholinergic activity of 1-, 2- and 3-diarylmethylenequinolizidine quaternary ammonium salts
作者:Ogawa, N.; Matsubara, I.; Kato, H.; Kurata, S.; Koshinaka, E.; Yamagishi, K.; Kubo, S.
来源:Chem Pharm Bull 1979,27(6),1454-63
合成路线图解说明:

The reaction of 2-piperidineethanol (I) with acrylonitrile (II) gives N-(2-cyanoethyl)piperidine-2-ethanol (III), which by treatment with SOCl2 is converted into the chloronitrile (IV). The cyclization of (IV) with NaH affords 3-cyanoquinolizidine (V), which by hydrolysis with ethanol and HCl yields ethyl quinolizidine-3-carboxylate (VI). The Grignard reaction of (VI) with 2-thienylmagnesium bromide gives thienyl-3-quinolizidinyl methanol (VIII), which is dehydrated with HCl ethanol to afford 3-(di-2-thienylmethylene)quinolizidine (IX). Finally, this compound is quaternirzed with methyl bromide in acetone.

Drug Information Express,Drug R&D,Chemical Database,Patent Search.
Copyright © 2006-2026 Drug Future. All rights reserved.Contact Us