【药物名称】Levobunolol hydrochloride, AG-901, AGN-101291-A-L, W-7000A, Mirol, BetaSite(substained-release), Betagan, Vistagan, Gotensin
化学结构式(Chemical Structure):
参考文献No.46455
标题:3,4-Dihydroxynaphtalenoneoxy-2-hydroxypropylamines
作者:Shavel, J.Jr.; Farber, S. (Pfizer Inc.)
来源:BE 0739195; DE 1948144; DE 1967162; FR 2018626; GB 1223527; JP 48043734B; US 3641152
合成路线图解说明:

The reaction of 5-hydroxy-7-tetralone (I) with epichlorohydrin (I) at reflux temperature gives 5-(3-chloro-2-hydroxypropoxy)-7-tetralone (III), which is then condensed with butylamine (IV) in refluxlng alcohol.

参考文献No.53437
标题:Levobunolol Hydrochloride
作者:Casta馿r, J.; Serradell, M.N.; Weetman, D.F.; Blancafort, P.
来源:Drugs Fut 1983,8(9),788
合成路线图解说明:

The reaction of 5-hydroxy-7-tetralone (I) with epichlorohydrin (I) at reflux temperature gives 5-(3-chloro-2-hydroxypropoxy)-7-tetralone (III), which is then condensed with butylamine (IV) in refluxlng alcohol.

参考文献No.800744
标题:Bunolol
作者:Casta馿r, J.; Arrigoni-Martelli, E.
来源:Drugs Fut 1976,1(9),403
合成路线图解说明:

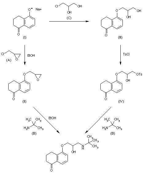
It can be obtained in two different ways both starting from the sodium salt of 5-hydroxy-3,4-dihydro-1(2H)-naphthalenone (I): 1) Its condensation with epichlorhydrine (A) in ethanol gives 5-(2,3-epoxypropoxy)-3,4-dihydro-1(2H)-naphthalenone (II), which is then condensed with tert-butylamine (B) in refluxing ethanol. 2) Its condensation with 3-chloro-1,2-propanediol (C) gives 5-(2,3-dihydroxy-propoxy)-3,4-dihydro-1(2H)-naphthalenone (III), which is esterified with tosyl chloride to the sulfonic ester (IV), and finally condensed with tert-butylamine.

参考文献No.800745
标题:Synthesis of 14C-labeled Bunolol
作者:Merrill, E.J.
来源:J Pharm Sci 1971,60(10),1589-91
合成路线图解说明:

It can be obtained in two different ways both starting from the sodium salt of 5-hydroxy-3,4-dihydro-1(2H)-naphthalenone (I): 1) Its condensation with epichlorhydrine (A) in ethanol gives 5-(2,3-epoxypropoxy)-3,4-dihydro-1(2H)-naphthalenone (II), which is then condensed with tert-butylamine (B) in refluxing ethanol. 2) Its condensation with 3-chloro-1,2-propanediol (C) gives 5-(2,3-dihydroxy-propoxy)-3,4-dihydro-1(2H)-naphthalenone (III), which is esterified with tosyl chloride to the sulfonic ester (IV), and finally condensed with tert-butylamine.

Drug Information Express,Drug R&D,Chemical Database,Patent Search.
Copyright © 2006-2026 Drug Future. All rights reserved.Contact Us