【药物名称】Ciprofibrate, Win-35833, Modalim, Hiperlipen, Lipanor, Ciprol
化学结构式(Chemical Structure):
参考文献No.53434
标题:Ciprofibrate
作者:Casta馿r, J.; Hillier, K.
来源:Drugs Fut 1977,2(5),297
合成路线图解说明:

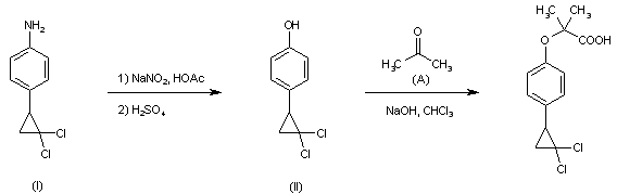
The Sandmeyer reaction of 4-(2',2'-dichlorocyclopropyl)aniline (I) first with NaNO2 and acetic acid and then with 33% aqueous H2SO4 at 100 C gives 4-(2',2'-dichlorocyclopropyl)phenol (II), which is then condensed with acetone (A) and CHCl3 by means of NaOH in refluxing acetone.

参考文献No.701081
标题:Phenoxyacetic acid and cyclopropa-alpha-naphthoxyacetic acid derivatives
作者:Phillips, D.K.
来源:DE 2343606; FR 2197586; GB 1385828; JP 58074636
合成路线图解说明:

The Sandmeyer reaction of 4-(2',2'-dichlorocyclopropyl)aniline (I) first with NaNO2 and acetic acid and then with 33% aqueous H2SO4 at 100 C gives 4-(2',2'-dichlorocyclopropyl)phenol (II), which is then condensed with acetone (A) and CHCl3 by means of NaOH in refluxing acetone.

Drug Information Express,Drug R&D,Chemical Database,Patent Search.
Copyright © 2006-2026 Drug Future. All rights reserved.Contact Us