【药物名称】Cefpiramide sodium, SM-1652, Tamicin, Suncefal, Sepatren
化学结构式(Chemical Structure):
参考文献No.46992
标题:N-acylamino-alpha-arylacetamido cephalosporins and antibacterial compositions and methods containing them
作者:Yamada, H.; et al. (Sumitomo Chemical Co., Ltd.)
来源:DE 2539664; ES 456652; FR 2283688; GB 1510730; US 4156724
合成路线图解说明:

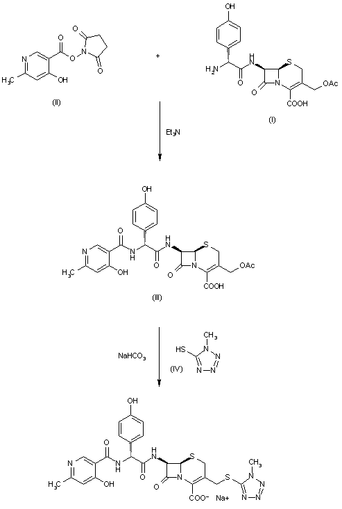
The condensation of 7-[alpha-amino-alpha-(4-hydroxyphenyl)acetamido]cephalosporanic acid (I) with 4-hydroxy-6-methylpyridine-3-carboxylic acid N-hydroxysuccinimide ester (II) by means of triethylamine and sodium 2-ethylhexanoate in DMF chloromethaneethyl ether gives 7-[alpha-(4-hydroxy-6-methylpyridin-3-carboxamido)-alpha-(4-hydroxyphenyl)acetamido]cephalosporanic acid (III), which is then treated with 1-methyl-5-mercaptotetrazol (IV) and NaHCO3 in a phosphate buffer.

参考文献No.53431
标题:SM-1652
作者:Leeson, P.A.; Serradell, M.N.; Casta馿r, J.; Mealy, N.E.; Blancafort, P.
来源:Drugs Fut 1980,5(5),254
合成路线图解说明:

The condensation of 7-[alpha-amino-alpha-(4-hydroxyphenyl)acetamido]cephalosporanic acid (I) with 4-hydroxy-6-methylpyridine-3-carboxylic acid N-hydroxysuccinimide ester (II) by means of triethylamine and sodium 2-ethylhexanoate in DMF chloromethaneethyl ether gives 7-[alpha-(4-hydroxy-6-methylpyridin-3-carboxamido)-alpha-(4-hydroxyphenyl)acetamido]cephalosporanic acid (III), which is then treated with 1-methyl-5-mercaptotetrazol (IV) and NaHCO3 in a phosphate buffer.

Drug Information Express,Drug R&D,Chemical Database,Patent Search.
Copyright © 2006-2026 Drug Future. All rights reserved.Contact Us