【药物名称】Cefbuperazone sodium, T 1982, BMY-25182, Tomiporan, Keiperazon
化学结构式(Chemical Structure):
参考文献No.45871
标题:Novel 7alpha-methoxycephalosporins and process for producing the same
作者:Saikawa, I.; et al. (Toyama Chemical Co., Ltd.)
来源:FR 2455051; GB 2048241; JP 80141.491; JP 8125188; US 4263292
合成路线图解说明:

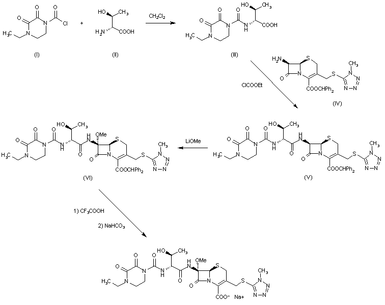
The condensation of 4-ethyl-2,3-dioxo-1-piperazinecarbonyl chloride (I) with threonine (II) in methylene chloride gives alpha-(4-ethyl-2,3-dioxo-1-piperazinecarboxamido)-beta-hydroxybutyric acid (III), which is then condensed with diphenylmethyl 7-beta-amino-3-[(1-methyltetrazol-5-yl)thiometnyl)-Delta3-cephem-4-carboxylate (IV) by means of ethyl chloroformate and N-methyl morpholine yielding diphenylmethyl 7-beta-[alpha-(4-ethyl-2,3-dioxo-1-piperazi-necarboxamido)-beta-hydroxybutyramido]-3-(11-methyltetrazol-5-yl)thiomethyl]-Delta3-cephem-4-carboxylate (V). The methoxylation of (V) with lithium methoxide-methylene chloride THF affords diphenyl methyl 7-beta-[alpha-(4-ethyl-2,3-dioxo-1-piperazinecarboxamido)-beta-hydroxybutyramido]-7-alpha-methoxy-3-[(1-methyltetrazol-5-yl)thiamethyl-Delta3-cephem-4-carboxylate (VI), which is finally hydrolyzed with trifluoroacetic acid, and treated with NaHCO3 to obtain the sodium salt.

参考文献No.53427
标题:Cefbuperazone Sodium
作者:Burnie, J.; Serradell, M.N.; Casta馿r, J.
来源:Drugs Fut 1985,10(1),14
合成路线图解说明:

The condensation of 4-ethyl-2,3-dioxo-1-piperazinecarbonyl chloride (I) with threonine (II) in methylene chloride gives alpha-(4-ethyl-2,3-dioxo-1-piperazinecarboxamido)-beta-hydroxybutyric acid (III), which is then condensed with diphenylmethyl 7-beta-amino-3-[(1-methyltetrazol-5-yl)thiometnyl)-Delta3-cephem-4-carboxylate (IV) by means of ethyl chloroformate and N-methyl morpholine yielding diphenylmethyl 7-beta-[alpha-(4-ethyl-2,3-dioxo-1-piperazi-necarboxamido)-beta-hydroxybutyramido]-3-(11-methyltetrazol-5-yl)thiomethyl]-Delta3-cephem-4-carboxylate (V). The methoxylation of (V) with lithium methoxide-methylene chloride THF affords diphenyl methyl 7-beta-[alpha-(4-ethyl-2,3-dioxo-1-piperazinecarboxamido)-beta-hydroxybutyramido]-7-alpha-methoxy-3-[(1-methyltetrazol-5-yl)thiamethyl-Delta3-cephem-4-carboxylate (VI), which is finally hydrolyzed with trifluoroacetic acid, and treated with NaHCO3 to obtain the sodium salt.

Drug Information Express,Drug R&D,Chemical Database,Patent Search.
Copyright © 2006-2026 Drug Future. All rights reserved.Contact Us