【药物名称】Bucladesine sodium, DT-5621, DBcAMP.Na, Actosin
化学结构式(Chemical Structure):
参考文献No.53423
标题:Bucladesine Sodium
作者:Casta馿r, J.; Serradell, M.N.
来源:Drugs Fut 1985,10(2),106
合成路线图解说明:

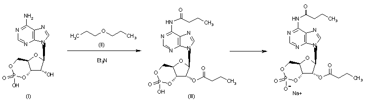
The reaction of adenosine-3',5'-cyclic phosphate (I) with butyric anhydride (II) in the presence of triethylamine gives N6,2'-O-dibutyryladenosine-3',5'-cyclic phosphate (III), which is then treated with Na-type Amberlite IR-120 B.

参考文献No.700539
标题:Improved methods of producing adenosine derivatives
作者:Hirayama, T.; et al.
来源:JP 52039699
合成路线图解说明:

The reaction of adenosine-3',5'-cyclic phosphate (I) with butyric anhydride (II) in the presence of triethylamine gives N6,2'-O-dibutyryladenosine-3',5'-cyclic phosphate (III), which is then treated with Na-type Amberlite IR-120 B.

参考文献No.700540
标题:
作者:
来源:JP 76095096
合成路线图解说明:

The reaction of adenosine-3',5'-cyclic phosphate (I) with butyric anhydride (II) in the presence of triethylamine gives N6,2'-O-dibutyryladenosine-3',5'-cyclic phosphate (III), which is then treated with Na-type Amberlite IR-120 B.

合成路线图解说明:

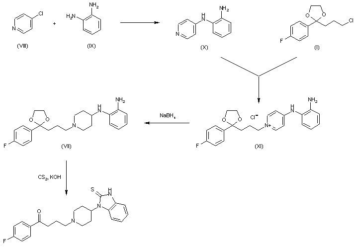
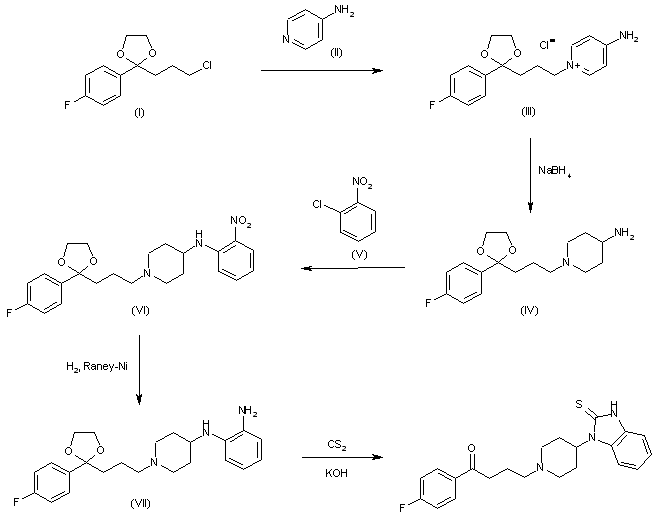
The reaction of 2-(3-chloropropyl)-2-(4-fluorophenyl)-1,3-dioxolane (I) with 4-aminopyridine (II) gives the corresponding pyridinium salt (III), which is reduced with NaBH4 to 2-[3-(4-aminopiperidyl)propyl]-2-(4-fluorophenyl)-1,3-dioxolane (IV). The condensation of (IV) with 2-chloronitrobenzene (V) yields 2-[3-[4-(2-nitroanilino)piperidyl]propyl]-2-(4-fluorophenyl)-1,3-dioxolane (VI), which is hydrogenated with H2 over Raney-Ni affording the corresponding amino compound (VII). Finally this compound is cyclized with carbon disulfide and KOH

合成路线图解说明:

The reaction of o-phenylenediamine (IX) with 4-chloropyridine (VIII) gives 2-(4-pyridylamino)aniline (X), which is condensed with 2-(3-chloropropyl)-2-(4-fluorophenyl)-1,3-dioxolane (I) to give the corresponding pyridinium salt (XI). The reduction of (XI) with NaBH4 yields amino compound (VII). Finally this compound is cyclized with carbon disulfide and KOH

参考文献No.700541
标题:
作者:
来源:JP 76113896
合成路线图解说明:

The reaction of adenosine-3',5'-cyclic phosphate (I) with butyric anhydride (II) in the presence of triethylamine gives N6,2'-O-dibutyryladenosine-3',5'-cyclic phosphate (III), which is then treated with Na-type Amberlite IR-120 B.

Drug Information Express,Drug R&D,Chemical Database,Patent Search.
Copyright © 2006-2026 Drug Future. All rights reserved.Contact Us