【药物名称】Anpirtoline hydrochloride, D-16949
化学结构式(Chemical Structure):
参考文献No.2302
标题:New pyridine-2-ethers and pyridine-2-thioethers having a nitrogen-containing cycloaliphatic ring
作者:Engel, J.; Jacovlev, V.; Nickel, B.; Scheffler, G.; Thiemer, K. (Degussa-H黮s AG)
来源:DE 3443968; EP 0149088; ES 8607014; GB 2152048; JP 1985169476; US 4643995
合成路线图解说明:

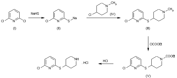
2,6-Dichloropyridine (I) reacts with sodium hydrogen sulfide yielding 6-chloro-2-mercaptopyridine sodium salt (II). The thioether (III) is formed through reaction of 4-chloro-N-methylpiperidine with (II). Cleavage of the N-methyl group is achieved by condensation of (III) with ethyl chloroformate followed by acidic hydrolysis.

参考文献No.95998
标题:ANPIRTOLINE HYDROCHLORIDE < Rec INNM >
作者:Szelenyi, I.; Engel, J.; Scheffler, G.; Nickel, B.; Thiemer, K.; Tibes, U.; Werner, U.
来源:Drugs Fut 1989,14(7),614
合成路线图解说明:

2,6-Dichloropyridine (I) reacts with sodium hydrogen sulfide yielding 6-chloro-2-mercaptopyridine sodium salt (II). The thioether (III) is formed through reaction of 4-chloro-N-methylpiperidine with (II). Cleavage of the N-methyl group is achieved by condensation of (III) with ethyl chloroformate followed by acidic hydrolysis.

Drug Information Express,Drug R&D,Chemical Database,Patent Search.
Copyright © 2006-2026 Drug Future. All rights reserved.Contact Us