【药物名称】Cycloplatam
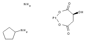
化学结构式(Chemical Structure):
参考文献No.3164
标题:Carboxylatoplatinum(II) complexes and process for their preparation
作者:Cheltsov-Bebutov, P.A.; Kravchenko, A.N.; Schelokov, R.N.; Konovalova, A.L.; Presnov, M.A.; Ivanov, V.B. (Inst. Obs. Neorg. Khim. Imeni; Vse. Onkol. Nauch. Tsentr Ak.)
来源:FR 2563524
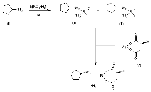
合成路线图解说明:

Treatment of cyclopentylamine (I) with potassium trichloroaminoplatinate and potassium iodide in H2O provides a mixture of platinum complexes (II) and (III), which is then subjected to reaction with silver (S)-(-)-malate (IV) in H2O to furnish the desired platinum complex.

Drug Information Express,Drug R&D,Chemical Database,Patent Search.
Copyright © 2006-2026 Drug Future. All rights reserved.Contact Us