【药物名称】Indomethacin butanediol ester, SY-6001
化学结构式(Chemical Structure):
参考文献No.3083
标题:Esters of indomethacin
作者:Isomae, K.; Kuwamura, T.; Mogi, K.; Ogawa, Y.; Sato, S. (SSP Co., Ltd.)
来源:DE 3235850; GB 2125786
合成路线图解说明:

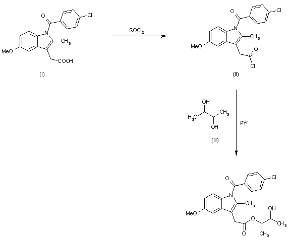
The reaction of indomethacin (I) with SOCl2 in hot benzene gives the corresponding acyl chloride (II), which is then condensed with 2,3-butanediol (III) by means of pyridine in THF.

参考文献No.53115
标题:SY-6001
作者:Prous, J.; Casta馿r, J.
来源:Drugs Fut 1986,11(3),194
合成路线图解说明:

The reaction of indomethacin (I) with SOCl2 in hot benzene gives the corresponding acyl chloride (II), which is then condensed with 2,3-butanediol (III) by means of pyridine in THF.

Drug Information Express,Drug R&D,Chemical Database,Patent Search.
Copyright © 2006-2026 Drug Future. All rights reserved.Contact Us