【药物名称】DHP-218
化学结构式(Chemical Structure):
参考文献No.3077
标题:1,4-Dihydropyridine-3-carboxylate derivs.
作者:Kimura, K.; Morita, I. (Nippon Shinyaku Co., Ltd.)
来源:AU 8541405; BE 0902210; EP 0159040; ES 8606276; FR 2563222; GB 2157695; JP 1985248693; US 5036059
合成路线图解说明:

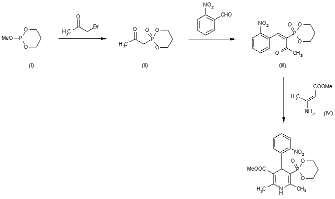
The condensation of Cyclic acetonylphosphonate (II), obtained from bromoacetone and cyclic phosphite (I) by an Arbuzov reaction, with o-nitrobenzaldehyde in the presence of piperidine - AcOH salt in boiling benzene gives benzylidene phosphonale (III), which is cyclized with methyl 3-aminocrotonate (IV) in reflux in 2-propanol affording methyl 2,6-dimethyl-4-(2-nitrophenyl)-5-(2 oxo-1,3,2-dioxaphosphorinan-2-yl)-1,4 dihydro-pyridine-3 carboxylate.

参考文献No.53107
标题:DHP-218
作者:Kimura, K.
来源:Drugs Fut 1987,12(3),212
合成路线图解说明:

The condensation of Cyclic acetonylphosphonate (II), obtained from bromoacetone and cyclic phosphite (I) by an Arbuzov reaction, with o-nitrobenzaldehyde in the presence of piperidine - AcOH salt in boiling benzene gives benzylidene phosphonale (III), which is cyclized with methyl 3-aminocrotonate (IV) in reflux in 2-propanol affording methyl 2,6-dimethyl-4-(2-nitrophenyl)-5-(2 oxo-1,3,2-dioxaphosphorinan-2-yl)-1,4 dihydro-pyridine-3 carboxylate.

参考文献No.72415
标题:Improved synthesis of methyl 2, 6-dimethyl-4-(2-nitrophenyl)-5-(2-oxo-1,3, 2-dioxaphosphorinan-2-yl)-1, 4-dihydropyridine-3-carboxylate (DHP-218)
作者:Morita, I.; Tsuda, M.; Kise, M.; Sugiyama, M.
来源:Chem Pharm Bull 1988,36(3),1139-42
合成路线图解说明:

The reaction of trimethylene glycol (I) with PCl3 gives 2-chloro-1,3,2-dioxaphosphorinane (II), which is condensed with propargyl alcohol (III) by means of triethylamine in acetonitrile to give a mixture of 2-allenyl- and 2-propargyl-2-oxo-1,3,2-dioxaphosphorinane (IV and V). The reaction of this mixture with isobutylamine in acetonitrile affords 2-(2-isobutylamino-1-propenyl)-2-oxo-1,3,2-dioxaphosphorinane (VI). The hydrolysis of the enamine (VI) with malonic acid gives 2-acetonyl-2-oxo-1,3,2-dioxaphosphorinane (VII), which is condensed with isobutyl-(2-nitrobenzylidene)amine (VIII) to yield 2-[1-(2-nitrobenzylidene)-2-oxopropyl]-2-oxo-1,3,2-dioxaphosphorinane (IX). Finally, this compound is cyclized with methyl 3-aminocrotonate (X) in refluxing acetonitrile.

Drug Information Express,Drug R&D,Chemical Database,Patent Search.
Copyright © 2006-2026 Drug Future. All rights reserved.Contact Us