【药物名称】Tipredane, SQ-27239
化学结构式(Chemical Structure):
参考文献No.3062
标题:Antiinflammatory 17,17-bis(substd. thio)androstene
作者:Varma, R.K. (Bristol-Myers Squibb Co.)
来源:US 4361559
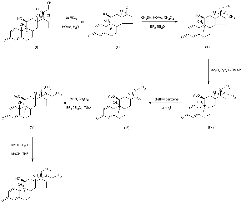
合成路线图解说明:

Oxidation of commercially available 9-fluoroprednisolone (I) with sodium bismuthate gives the ketone (II), which is reacted with methanethiol in a mixture of dichloromethane and acetic acid in the presence of boron trifluoride etherate to give the thioketal (III). Acetylation of (III) with acetic anhydride in pyridine containing 4-dimethylaminopyridine gives the acetate (IV), which is heated in diethylbenzene to give the vinyl sulfide (V). The addition of ethanethiol to (V) at low temperatures in the presence of boron trifluoride etherate or trifluoroacetic acid in dichloromethane proceeds with high stereoselectivity to give the thioketal (VI), which is deacetylated with sodium hydroxide in methanol to give tipredane.

参考文献No.63029
标题:Tipredane
作者:Varma, R.K.
来源:Drugs Fut 1988,13(8),739
合成路线图解说明:

Oxidation of commercially available 9-fluoroprednisolone (I) with sodium bismuthate gives the ketone (II), which is reacted with methanethiol in a mixture of dichloromethane and acetic acid in the presence of boron trifluoride etherate to give the thioketal (III). Acetylation of (III) with acetic anhydride in pyridine containing 4-dimethylaminopyridine gives the acetate (IV), which is heated in diethylbenzene to give the vinyl sulfide (V). The addition of ethanethiol to (V) at low temperatures in the presence of boron trifluoride etherate or trifluoroacetic acid in dichloromethane proceeds with high stereoselectivity to give the thioketal (VI), which is deacetylated with sodium hydroxide in methanol to give tipredane.

Drug Information Express,Drug R&D,Chemical Database,Patent Search.
Copyright © 2006-2026 Drug Future. All rights reserved.Contact Us