【药物名称】Docarpamine, TA-870, TA-8704, Tanadopa
化学结构式(Chemical Structure):
参考文献No.3061
标题:Phenethylamine derivs., process for preparing same and pharmaceutical compositions containing said phenethylamine derivs
作者:Kiguchi, T.; Hatashi, K.; Yamaguchi, I. (Tanabe Seiyaku Co., Ltd.)
来源:EP 0007441; JP 1980007242
合成路线图解说明:

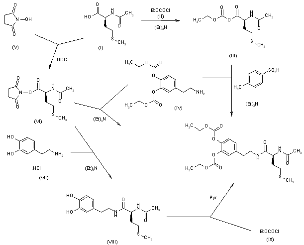
This compound can be obtained in three similar ways: 1) The reaction of N-acetyl-L-methionine (I) with ethyl chloroformate (II) and triethylamine in chloroform gives the corresponding mixed anhydride (III), which is then condensed with 3,4-di(ethoxycarbonyloxy)phenethylamine tosylate (IV) by means of triethylamine in chloroform. 2) The reaction of N-acetyl-L-methionine (I) with N-hydroxysuccinimide (V) by means of dicyclohexylcarbodiimide (DDC) in dioxane gives the corresponding active ester (VI), which is then condensed with the amine (IV) as before. The active ester method can also be carried out in this case using N-hydroxyphthalimide, 1-hydroxybenzothiazole or 4-nitrophenol instead of N-hydroxysuccinimide (V). 3) The reaction of the active ester (VI) with dopamine (VII) by means of triethylamine in DMF gives the corresponding amide (VIII), which is then acylated with ethyl chloroformate (IX) in pyridine.

参考文献No.103113
标题:DOCARPAMINE
作者:Prous, J.; Casta馿r, J.
来源:Drugs Fut 1990,15(2),122
合成路线图解说明:

This compound can be obtained in three similar ways: 1) The reaction of N-acetyl-L-methionine (I) with ethyl chloroformate (II) and triethylamine in chloroform gives the corresponding mixed anhydride (III), which is then condensed with 3,4-di(ethoxycarbonyloxy)phenethylamine tosylate (IV) by means of triethylamine in chloroform. 2) The reaction of N-acetyl-L-methionine (I) with N-hydroxysuccinimide (V) by means of dicyclohexylcarbodiimide (DDC) in dioxane gives the corresponding active ester (VI), which is then condensed with the amine (IV) as before. The active ester method can also be carried out in this case using N-hydroxyphthalimide, 1-hydroxybenzothiazole or 4-nitrophenol instead of N-hydroxysuccinimide (V). 3) The reaction of the active ester (VI) with dopamine (VII) by means of triethylamine in DMF gives the corresponding amide (VIII), which is then acylated with ethyl chloroformate (IX) in pyridine.

Drug Information Express,Drug R&D,Chemical Database,Patent Search.
Copyright © 2006-2026 Drug Future. All rights reserved.Contact Us