【药物名称】Ipenoxazone, MLV-6976, NC-1200
化学结构式(Chemical Structure):
参考文献No.3060
标题:1,3-Oxazolidin-2-one derivs.
作者:Moritoh, N.; Satoh, M.; Shinozaki, H.; Masaki, M.; Hashimoto, K.; Kamishiro, T. (Nippon Chemiphar Co., Ltd.)
来源:CH 663207; DE 3519261; ES 8800571; ES 8802152; FR 2571052; GB 2165237; JP 1986083170; US 4644063
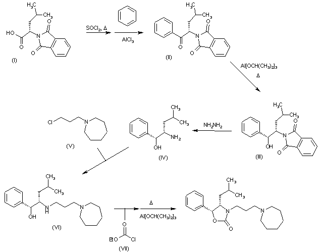
合成路线图解说明:

Protected aminopentanoic acid derivative (I) is converted into phenylpentanone (II) by first treatment with thionyl chloride in refluxing benzene, followed by condensation with benzene and aluminum chloride. Reduction of (II) with aluminum isopropoxide in refluxing isopropanol provides phenylpentanol derivative (III), which is then treated with hydrazine hydrate in refluxing EtOH to furnish 2-amino-4-methyl-1-phenylpentane-1-ol (IV). Coupling of (IV) with chloro derivative (V) at 110-120 C yields derivative (VI), which is finally converted into the desired oxazolidinone by reaction with ethyl chlorocarbonate (VII) in chloroform followed by heating in toluene and treatment with aluminum isopropoxide.

Drug Information Express,Drug R&D,Chemical Database,Patent Search.
Copyright © 2006-2026 Drug Future. All rights reserved.Contact Us