【药物名称】Cyanidin chloride monohydrate, IdB-1027, Gastrotelos
化学结构式(Chemical Structure):
参考文献No.46446
标题:Process for the synthesis of anthocyanidines and novel intermediates produced in said processes
作者:Gabetta, B.; Giorgi, R.; Pifferi, G. (Incyte Pharmaceuticals, Inc.)
来源:EP 0348121; ES 2053992T; JP 2040376; PT 90920
合成路线图解说明:

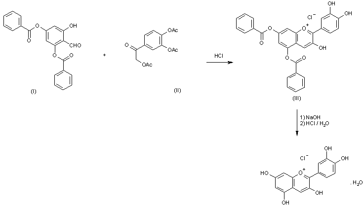
Condensation of 2,4-di-O-benzoylphloroglucinaldehyde (I) with omega-acetoxy-3,4-diacetoxyacetophenone (II) in the presence of HCl gives the 5,7-dibenzoyloxy-3-hydroxy-2-(3,4-dihydroxyphenyl)-1-benzopyrylium chloride (III), which is subsequently hydrolyzed with NaOH and finally treated with HCl.

参考文献No.85083
标题:IdB-1027
作者:Magistretti, M.J.; Pifferi, G.
来源:Drugs Fut 1989,14(3),224
合成路线图解说明:

Condensation of 2,4-di-O-benzoylphloroglucinaldehyde (I) with omega-acetoxy-3,4-diacetoxyacetophenone (II) in the presence of HCl gives the 5,7-dibenzoyloxy-3-hydroxy-2-(3,4-dihydroxyphenyl)-1-benzopyrylium chloride (III), which is subsequently hydrolyzed with NaOH and finally treated with HCl.

Drug Information Express,Drug R&D,Chemical Database,Patent Search.
Copyright © 2006-2026 Drug Future. All rights reserved.Contact Us