【药物名称】Posatirelin, pAad-Leu-Pro-NH2, RGH-2202, Pyladox
化学结构式(Chemical Structure):
参考文献No.62993
标题:RGH-2202
作者:N骻r醖i, M.
来源:Drugs Fut 1988,13(5),420
合成路线图解说明:

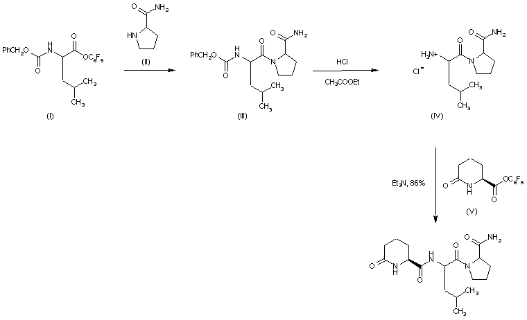
a) N-Protected L-Leucine activated as the pentafluorophenyl ester (I) is coupled with L-prolinamide (II), and the resulting dipeptide (III) is deprotected te (IV) and coupled with L-pyro-2-aminoadipic acid pentatluorophenyl ester (V) to give RGH-2202.

合成路线图解说明:

b) Large scale preparation of L-pyro-2-aminoadipic acid (IX) is accomplished by oxidation of the N-protected L-lysine derivative (VI) with KMnO4 followed by deprotection to (VIII) and cyclization.

参考文献No.547064
标题:Synthesis of thyrotropin releasing hormone analogu
作者:Szirtes, T.; Kisfaludy, L.; P醠osi, ?; Szporny, L.
来源:J Med Chem 1984,27741
合成路线图解说明:

a) N-Protected L-Leucine activated as the pentafluorophenyl ester (I) is coupled with L-prolinamide (II), and the resulting dipeptide (III) is deprotected te (IV) and coupled with L-pyro-2-aminoadipic acid pentatluorophenyl ester (V) to give RGH-2202.

合成路线图解说明:

b) Large scale preparation of L-pyro-2-aminoadipic acid (IX) is accomplished by oxidation of the N-protected L-lysine derivative (VI) with KMnO4 followed by deprotection to (VIII) and cyclization.

参考文献No.547067
标题:Synthesis of thyrotropin-releasing hormone analogu
作者:Szirtes, T.; Kisfaludy, L.; P醠osi, ?; Szporny, L.
来源:J Med Chem 1986,291654
合成路线图解说明:

a) N-Protected L-Leucine activated as the pentafluorophenyl ester (I) is coupled with L-prolinamide (II), and the resulting dipeptide (III) is deprotected te (IV) and coupled with L-pyro-2-aminoadipic acid pentatluorophenyl ester (V) to give RGH-2202.

合成路线图解说明:

b) Large scale preparation of L-pyro-2-aminoadipic acid (IX) is accomplished by oxidation of the N-protected L-lysine derivative (VI) with KMnO4 followed by deprotection to (VIII) and cyclization.

Drug Information Express,Drug R&D,Chemical Database,Patent Search.
Copyright © 2006-2026 Drug Future. All rights reserved.Contact Us